云南会泽井水位地震预测效能检验及其机理分析

Earthquake prediction efficiency inspection of water level in Huize well and its anomaly mechanism

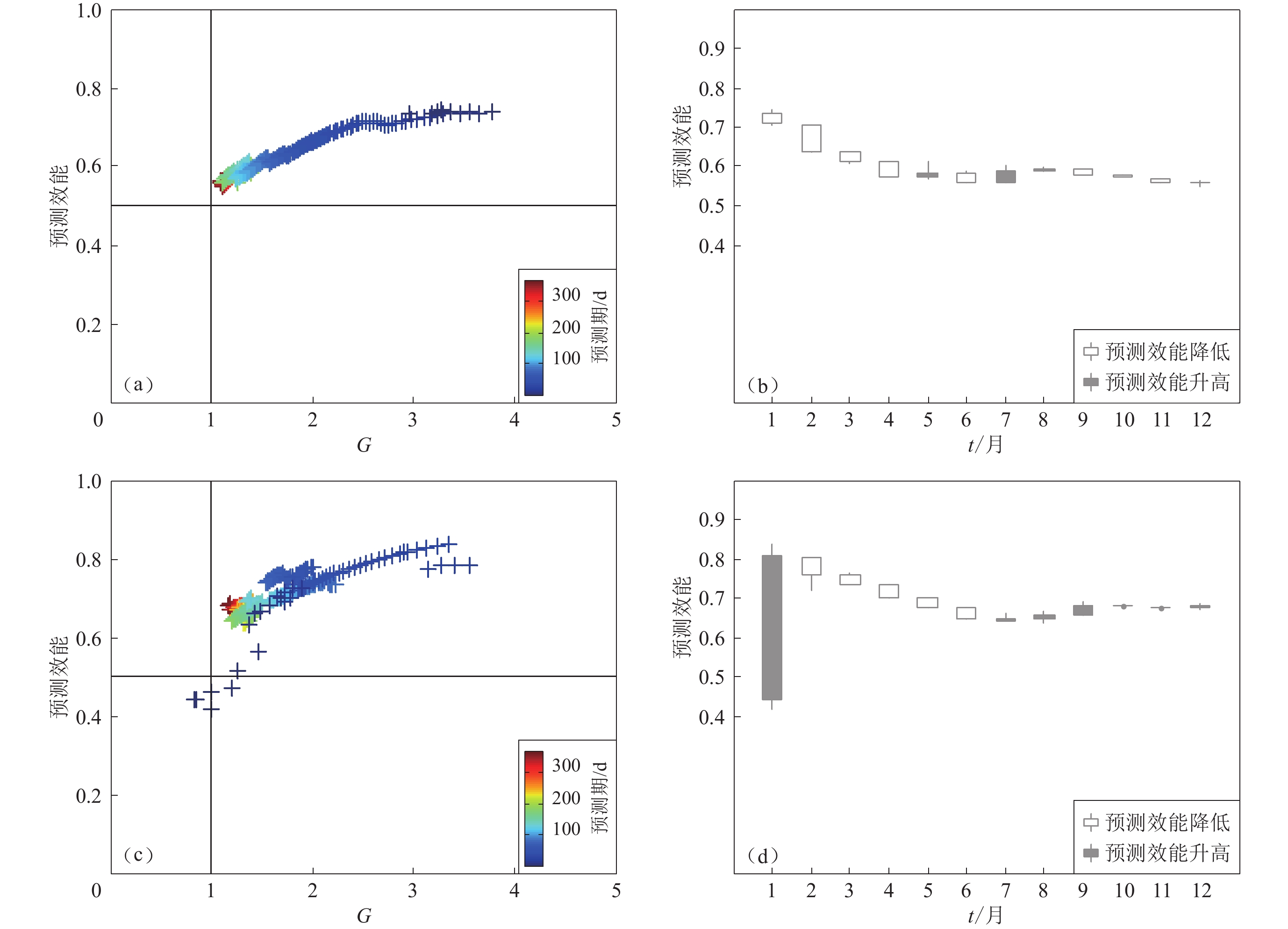
  • 摘要: 云南会泽井水位在几次中强地震前均出现了显著的异常变化,表明该井水位对其周边的中强地震具有较好的映震效果。本文利用Molchan图表法对会泽井水位的预测效能进行了定量检验,并对其水位上升异常机理进行了分析探讨。Molchan图表法检验结果显示:会泽井水位异常的整体预测效能较好,对地震发生的时间和地点具有一定的指示意义;地震对应优势预测时间段为3个月以内,优势预测地区为川滇菱形地块以东区域。此外,会泽井处于地块边界带上的断裂交会部位,对与震源过程相关的区域构造活动响应较为灵敏,具有较好的预测效能。

     

    Abstract: Significant abnormal changes of water level in Huize well of Yunnan Provience were observed before several earthquakes, which indicates that the anomalies of water level in Huize well has good prediction efficiency to the earthquakes occurred surrounding the well. In this paper, the prediction efficiency of the water level in Huize well was tested by the Molchan diagram method, and the anomaly mechanism of water level was analyzed. The results show that the water level in Huize well has good prediction efficiency to earthquakes, and the anomalies can be used to predict the time and the site of the next earthquake. The prediction interval from anomaly appearance to next earthquake occurrence corresponds to three months, and the prediction area is the eastern part of Sichuan-Yunnan block. Because the Huize well was drilled in the junction of fault zones, water level in the well was sensitivity to the regional tectonic activity associated with the seismogenic process, which leads to the good prediction efficiency.

     

/

返回文章
返回