南北地震带川滇甘陕地区竖向与水平向加速度反应谱比的统计分析

Statistic analyses on the vertical to horizontal acceleration response spectra ratios of Sichuan-Yunnan-Gansu-Shaanxi region in the North-South Seismic Belt

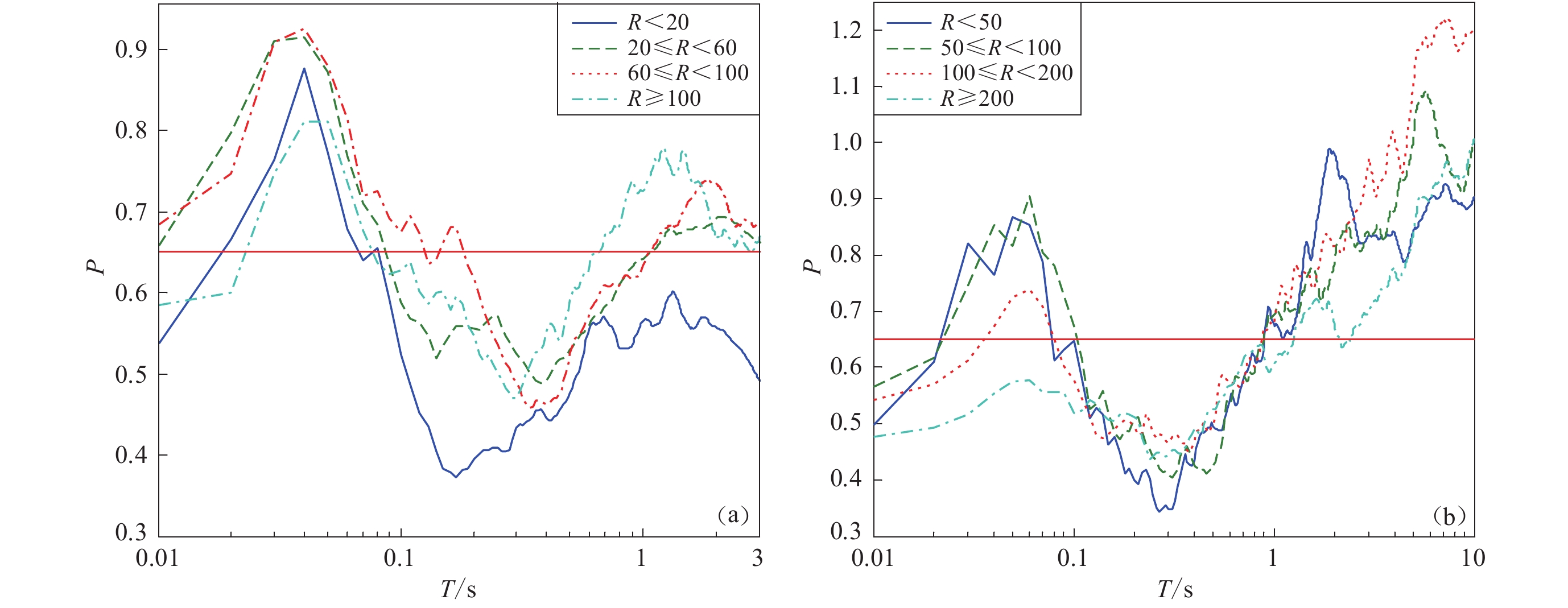
  • 摘要: 本文收集了从南北地震带川滇甘陕地区263个有详细场地资料的强震台站获得的802组强震动记录,按照场地、震级和震中距等因素统计分析了竖向与水平向加速度反应谱比的形状以及不同场地、震级和震中距下不同周期段内的谱比平均值,并与建筑抗震规范GB50011—2010规定的0.65进行了比较。结果表明:竖向与水平向加速度反应谱比受场地、震级和震中距等因素的影响; Ⅰ类和Ⅱ类场地在全周期段的谱比均值基本上大于0.65;无论何种分组情况谱比均值在0.1—1.0 s周期范围内基本低于定值0.65,周期大于1.0 s的谱比均值基本上远高于0.65。因此对于大部分抗震规范直接把竖向地震作用取为水平向地震作用的0.65倍,有待商榷。本文建议根据水平向反应谱的标定方式来确定现有竖向强震动记录的竖向地震作用。

     

    Abstract: Based on 802 groups of strong ground motions collected from 263 sites in Sichuan, Yunnan, Gansu and Shaanxi Provinces, this paper analyzes the shape of the vertical to horizontal acceleration response spectra ratios on the condition of different site conditions, magnitudes and epicentral distances, as well as corresponding average value of the spectra ratio in different period intervals. And then the average spectral ratio values are compared with the standard value 0.65 specified in the Code for Seismic Design of Buildings (GB50011−2010). The results show that the ratios of vertical to horizontal acceleration response spectra are affected by the factors such as site, magnitude and epicentral distance. The spectral ratio of class Ⅰ and class Ⅱ sites in the whole period is basically greater than 0.65. Whatever the grouping situation, the mean value of spectral ratio in the period of 0.1−1.0 s is lower than 0.65. In the period larger than 1.0 s, the spectral ratio is basically much higher than 0.65. Therefore, it is worth discussing that the ratio of vertical to horizontal seismic influence coefficients is set as 0.65 in most of the codes for seismic design of building. It is suggested that the vertical seismic action of the existing vertical strong motion records should be determined according to the calibration method of the horizontal response spectrum.

     

/

返回文章
返回