禁核试核查国际监测系统中的USRK及KSRS台阵对朝鲜地下核试验场的地震信号检测能力评估

Evaluation of capability for seismic signal detection of the USRK and KSRS arrays of IMS to the North Korean underground nuclear test site

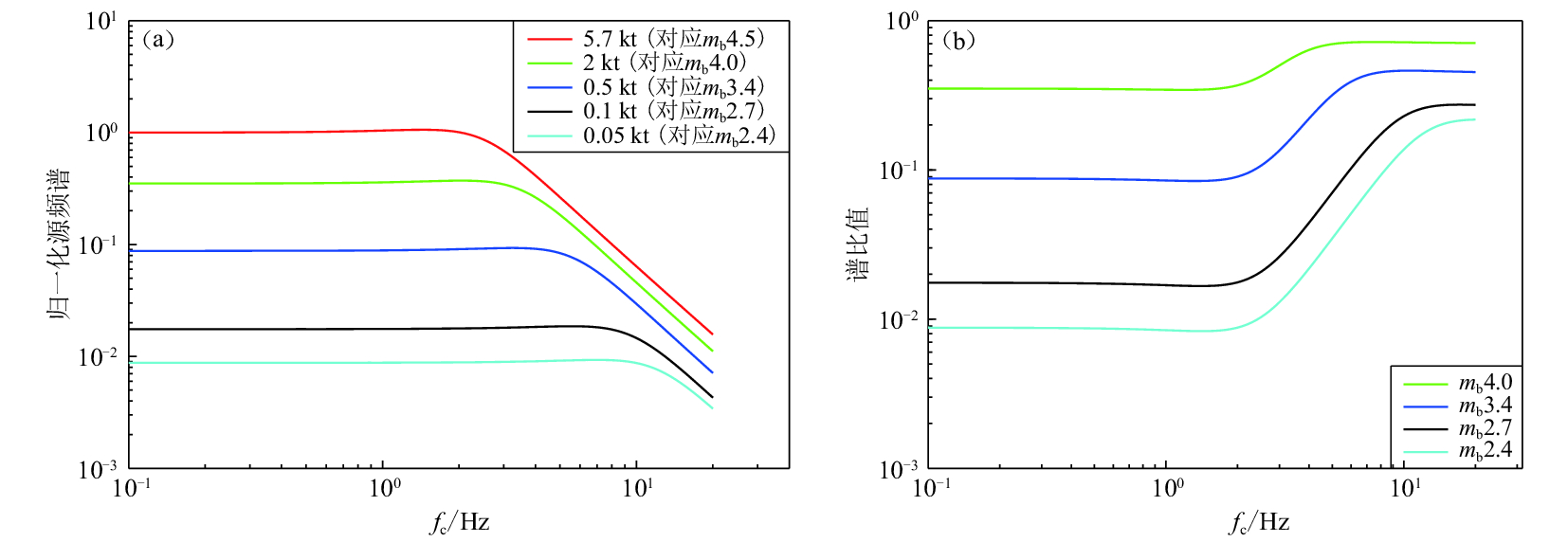
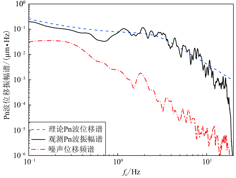
  • 摘要: 根据禁核试核查国际监测系统中的USRK及KSRS台阵的实际记录数据,统计建立了这两个台阵的本底噪声水平分布概率模型。基于地下爆炸的源频谱模型及比例关系,对2009年5月25日朝鲜核试验在这两个地震台阵上的实际记录信号幅值进行了比例折算,得到了更小震级的“朝鲜地下核试验”在这两个地震台阵上的多频带信号幅值。在3倍信噪比检测条件下,利用概率模型法分别得到了这两个地震台阵对朝鲜地下核试验场小震级地下核试验的多频带信号检测能力。结果表明,震中距在400 km左右的两台阵对朝鲜地下核试验地震信号的检测阈值均随着频率的升高而逐渐降低,即高频段的检测能力强于低频段。这两个地震台阵的最高信号检测能力均出现在6.0—9.0 Hz频带,90%检测概率条件下,USRK和KSRS在该频带的检测阈值分别为mb1.5和mb2.2。

     

    Abstract: The noise level distribution probability models of the USRK and KSRS arrays are derived from the observed data of the two arrays which belongs to the International Monitoring System (IMS) Arrays. Based on the scaling model of source spectrum of underground explosion, amplitudes of seismic wave signal excited by the second North Korean nuclear test on May 25, 2009 and recorded by these two arrays are scaled to amplitudes of smaller underground explosions with lower magnitude. Thus, the amplitudes of the North Korean nuclear tests with lower magnitude are obtained. By the probabilistic model method, the detection capabilities of these two arrays for seismic signal from Korean nuclear tests with different magnitudes are given in the multi-band on the condition that signal-to-noise ratio is greater than three. The result indicates that the detection threshold is reduced with the frequency increasing at these two arrays on the condition epicentral distance within 400−500 km. Capability in the high frequency is much stronger than that in the low frequency. In the band of 6.0−9.0 Hz, the detection thresholds of the USRK and KSRS arrays aremb1.5 and mb2.2 respectively in the 90% detection probability.

     

/

返回文章
返回