基于三重震相的青藏高原东缘岩石圈地幔波速结构

Lithospheric velocity structure of eastern Tibet Plateau from triplication

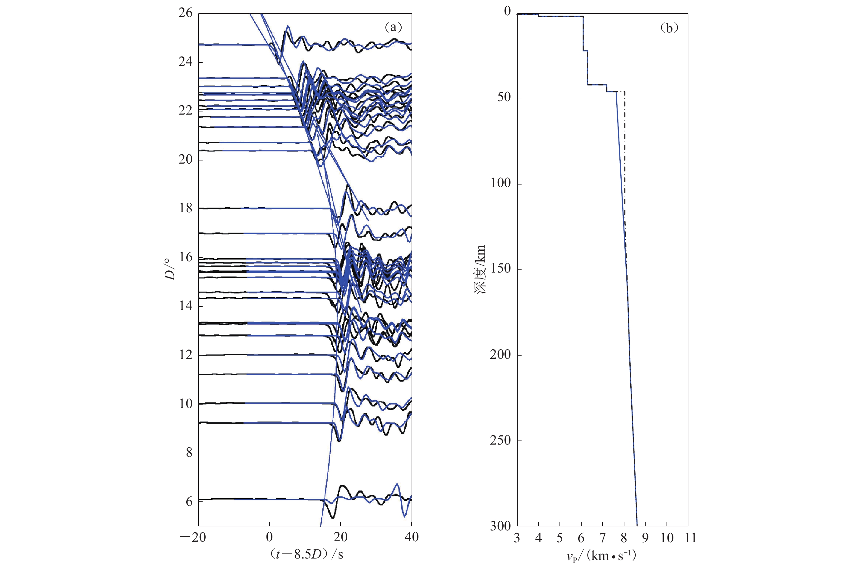
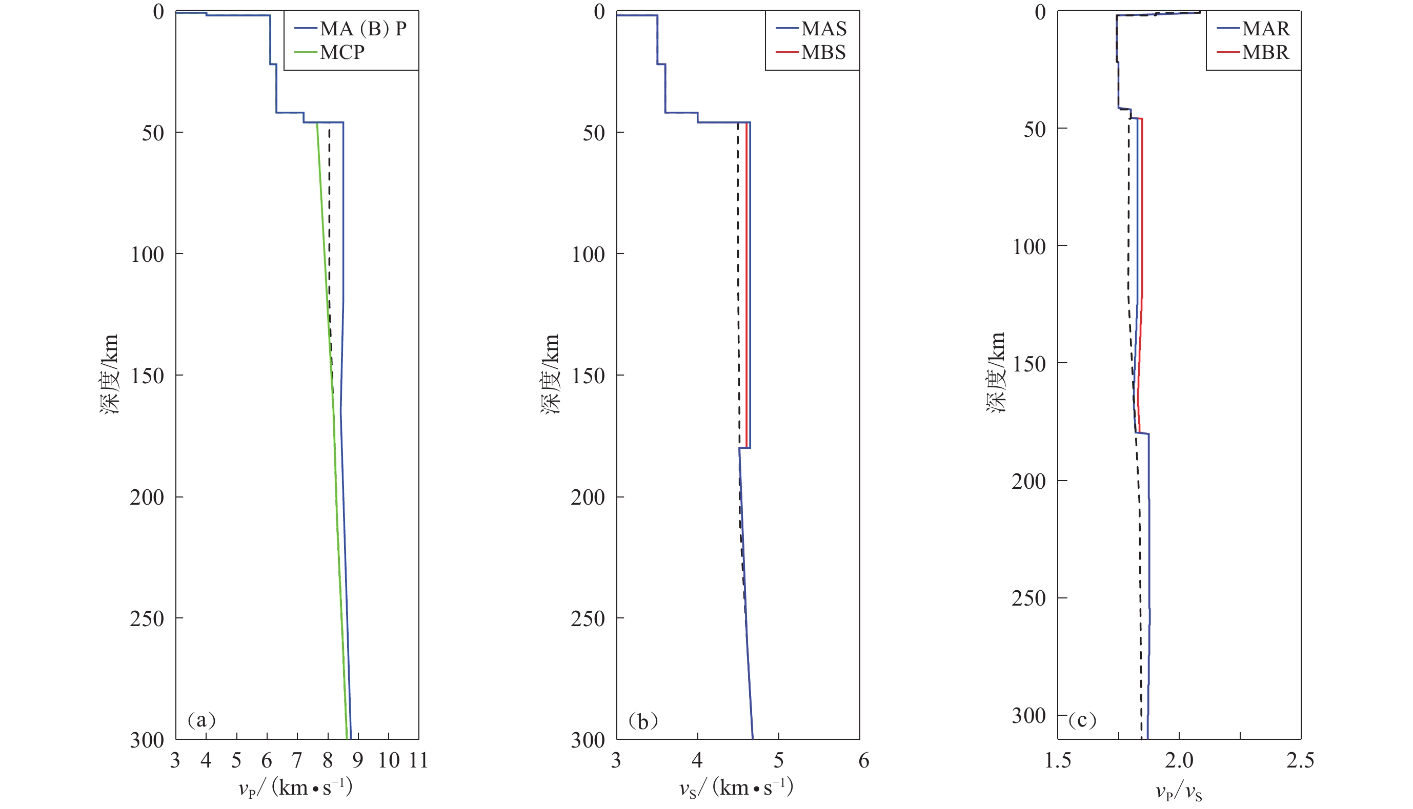
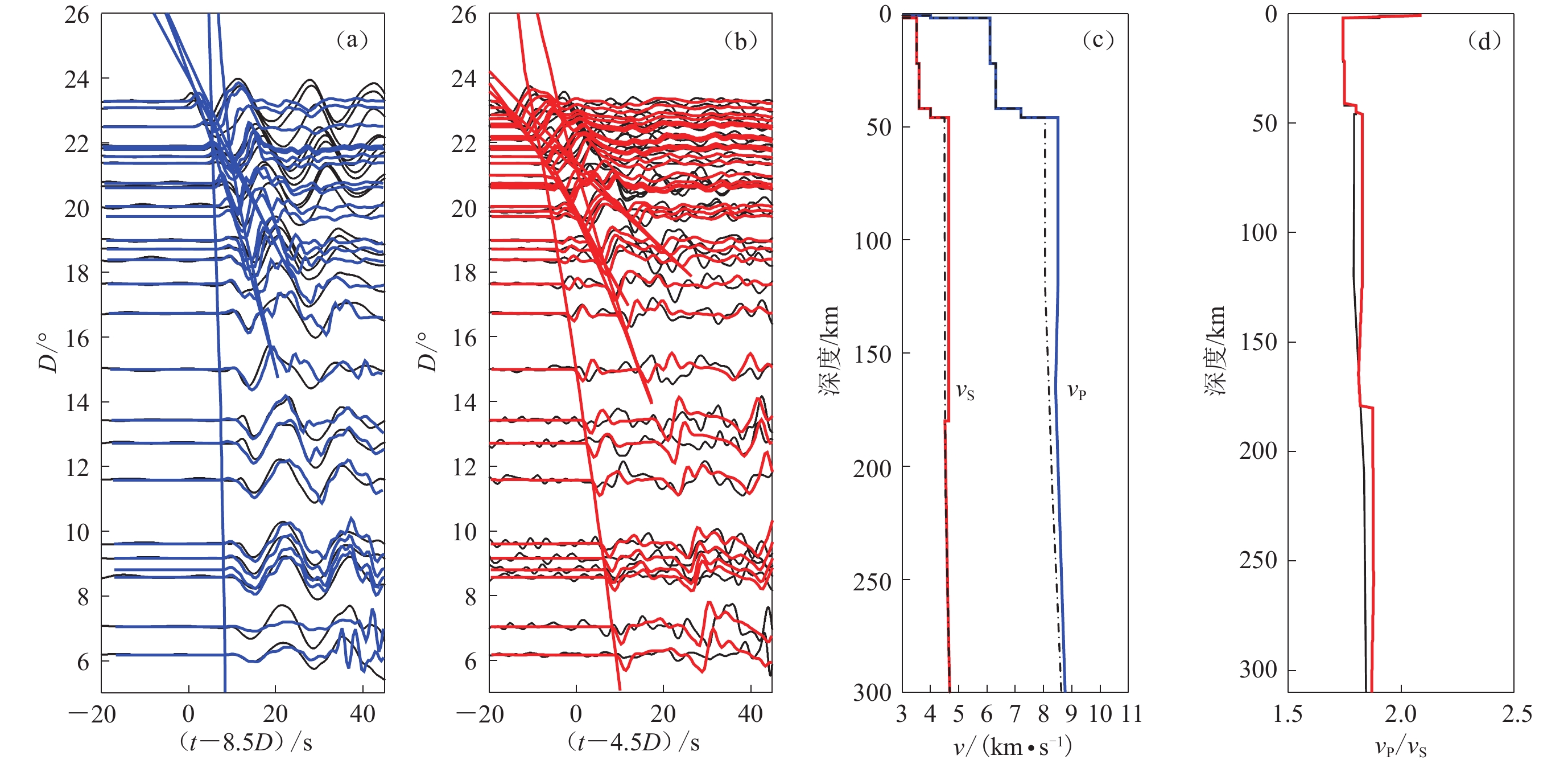
  • 摘要: 本文利用中国数字地震台网记录到的中国青海和缅甸弧发生的两次浅源地震的区域波形资料,在以Crust2.0改进AK135模型所构建的参考模型C2AK的基础上,通过三重震相波形拟合的方法,获得了青藏高原东部下方从莫霍面至上地幔顶部180 km深度范围内的P波和S波最佳拟合模型。最佳模型显示:松潘—甘孜地块(AB剖面)下方的P波速度比C2AK模型高5%,而川滇地块(C剖面)下方上地幔顶部的P波速度要比参考模型低5%,且随深度逐渐增加,直至120 km处与C2AK模型值相同;松潘—甘孜地块下方的S波速度较C2AK模型要高3%。上述区域性速度结构差异表明,相对于松潘—甘孜地块,川滇地区的岩石圈地幔存在着更明显的挤出效应。

     

    Abstract: By comparing the synthetic and observed seismic triplications for two events from Qinghai and Myanmar Arc with the trial-and-error method, the velocity structures of P-wave and S-wave from Moho to the depth of 180 km are obtained. The P-wave velocity models for the profiles A and B beneath Songpan-Garze block are 5% higher than that in the model C2AK, which is based on the model AK135 with crust structure of Crust2.0. The P-wave velocity model for the profile C beneath Sichuan-Yunnan block, however, is 5% lower than that in the model C2AK at Moho depth, and then increases slowly down to the depth of 120 km. The S-wave velocity model beneath Songpan-Garze block is 3% higher than the model C2AK from Moho to 180 km. Such regional difference in velocity structure may indicate that the lithospheric mantle beneath Sichuan-Yunnan block has been extruded more obviously than that beneath Songpan-Garze block in the uplift of the Tibetan Plateau.

     

/

返回文章
返回