利用双差层析成像方法反演青藏高原东南缘地壳速度结构

Crustal structure of southeastern Tibetan Plateau inferred from double-difference tomography

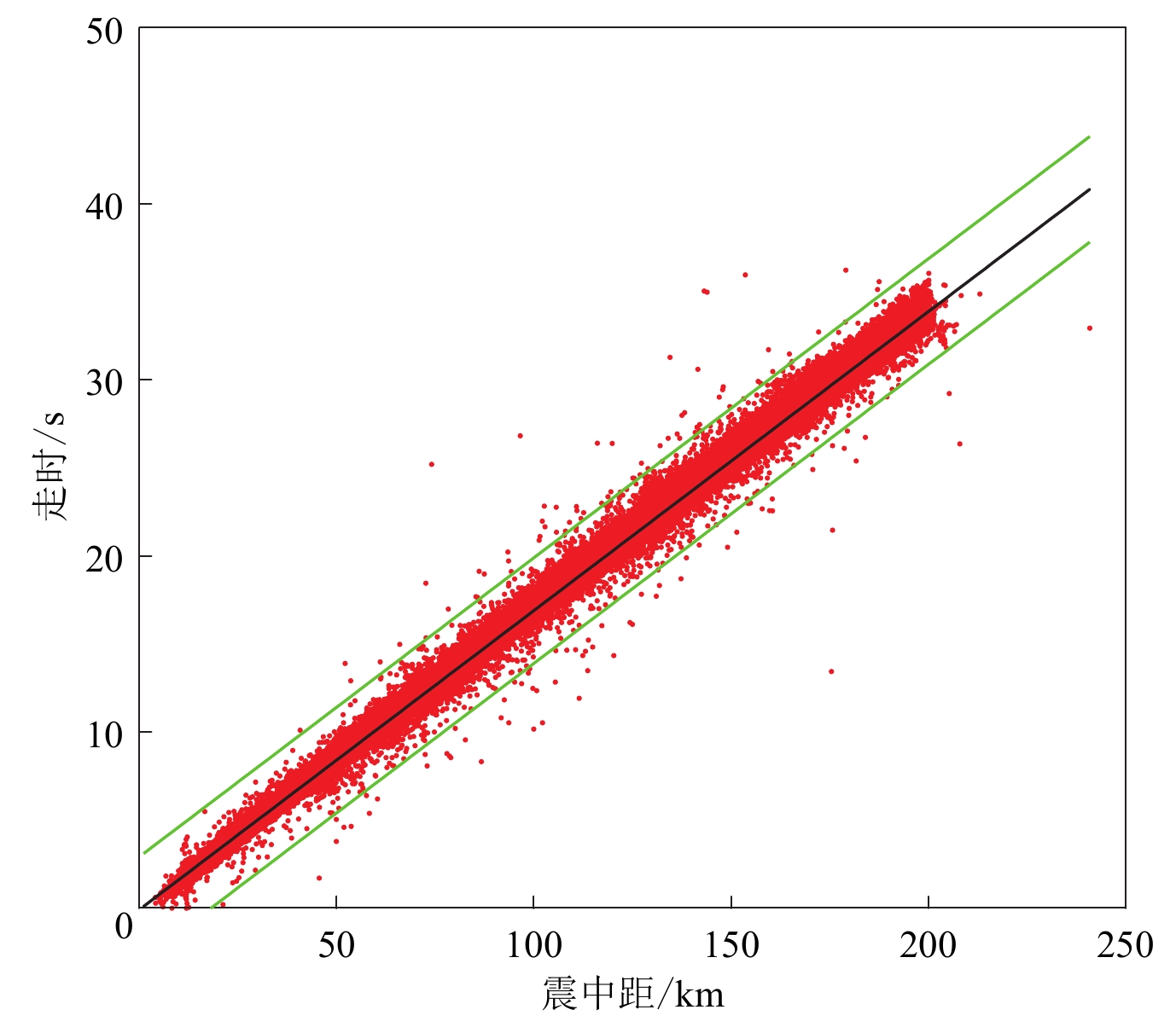
  • 摘要: 本文利用云南及周边区域地震台网2010—2016年记录到的近震资料,采用双差层析成像方法进行地震重定位并获得了青藏高原东南缘的三维地壳速度结构。结果显示:重定位后的震源位置精度得到明显提高,震源主要分布于20 km深度以上的中上地壳;地震分布与速度结构存在一定的相关性,大多数地震发生在中上地壳的低速异常区内以及高、低速异常区域之间;研究区上地壳速度结构存在明显的横向不均匀性,其速度异常与地表地形及地质特征密切相关;中下地壳分布着两条主要的低速带,一条沿着安宁河断裂、小江断裂分布在川滇菱形地块的东侧;另一条主要分布在川西北次级地块内,并穿过丽江断裂向南延伸,推测这两条低速带可能是青藏高原中下地壳物质向南逃逸的两条通道。

     

    Abstract: We applied the double-difference tomography to relocate seismic events and deter-mined the crustal structure of the southeastern Tibetan Plateau from the inversion of the local seismic data recorded by regional networks of Yunnan and its surrounding regions from 2010 to 2016. Our results demonstrate that the accuracy of events relocation is significantly improved, and the events are mainly distributed in upper-mid crust at the depths shallower than 20 km. The locations of events are closely related to the velocity structure of upper-mid crust. Most of the earthquakes occurred in some regions with low-velocity anomaly or in the regions between low-velocity and high-velocity anomalies. Tomography results also show that the velocity structure of upper crust exhibits apparent horizontal heterogeneities, which is largely consistent with surface geological and topographic features. In the mid-lower crust, there are two main NS-trending low-velocity zones, one is located in the east of Sichuan-Yunnan diamond block along the trace of Anninghe and Xiaojiang faults, and the other is mainly located in the northwestern Sichuan sub-block and extends to the south across the Lijiang fault. These low-velocity zones are deduced to be the two crustal channels for the southward escape of crustal matter in the middle and lower crust of Tibetan Plateau.

     

/

返回文章
返回