台湾双冬断层近场脉冲型地震动的数值模拟

Numerical simulation of near-field pulse-like ground motion for the Shuantung fault in Taiwan region

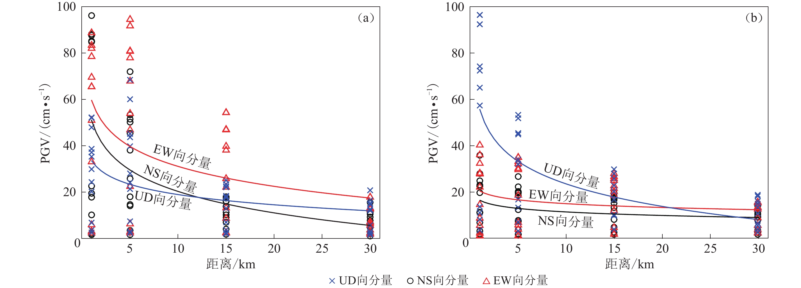
  • 摘要: 根据我国台湾地区西部的地质地貌特征和1999年集集MW7.6地震的震源参数,建立了三维速度结构模型和两类震源模型。基于地壳中断层的位错积累量和岩石破裂后应力应变的传播特性,采用三维有限差分法对双冬断层活动可能产生的近场脉冲型地震动进行了模拟研究。结果表明:走滑断层垂直于断层走向的水平分量和逆断层垂直分量的峰值速度较大;由方向性效应所产生的双向速度脉冲主要集中在垂直于断层滑动分量方向,而由滑冲效应所产生的单向速度脉冲则主要集中在平行于断层滑动分量的方向;受方向性效应和上盘效应的共同制约,近场脉冲型地震动呈不对称带状分布,速度脉冲多分布在距离走滑断层迹线15 km和逆断层迹线10 km的范围内;速度反应谱在断层面的覆盖范围内沿破裂方向逐渐增大,且速度脉冲可能会对大型建筑物产生严重的剪切破坏。受凹凸体特性的影响,地震波场显示南投、台中和苗栗处于强地震动危险区。

     

    Abstract: Based on the geological and geomorphological characteristics of western Taiwan and the source parameters of the 1999 MW7.6 Jiji (Chi-Chi) earthquake, we have established a 3D velocity structure model and two types of source models. Based on the accumulation of dislocation in the crust and the propagation characteristics of stress and strain after the rock fracture, 3D finite difference method was used to simulate the near-field pulse-like ground motion that would occur in the Shuantung fault activity. The results show that the peak velocity of the horizontal component perpendicular to the fault strike of the strike-slip fault is large, and so is the peak velocity of the vertical component of the reverse fault. The double-sided velocity pulses generated by the directivity effect are mainly concentrated in the direction perpendicular to the fault sliding component, while the single-sided velocity pulses generated by the fling-step effect are mainly concentrated in the direction parallel to the fault sliding component. Because of the mutual control of the directivity effect and the hanging wall effect, the near-field pulse-like ground motions exhibit an asymmetrical zonal distribution, and the velocity pulses mostly distributed within 15 km from the strike-slip fault trace and 10 km from the reverse fault trace. The velocity response spectrum gradually increases along the rupture direction within the coverage of the fault plane, and the velocity pulse may cause severe shear damage to large buildings. Influenced by the characteristics of the asperities, the seismic wave field shows that Nantou, Taichung, and Miaoli are in risk region of strong ground motion.

     

/

返回文章
返回