安宁河断裂带土壤汞的分布特征

Distribution characteristics of soil mercury in Anninghe fault zone

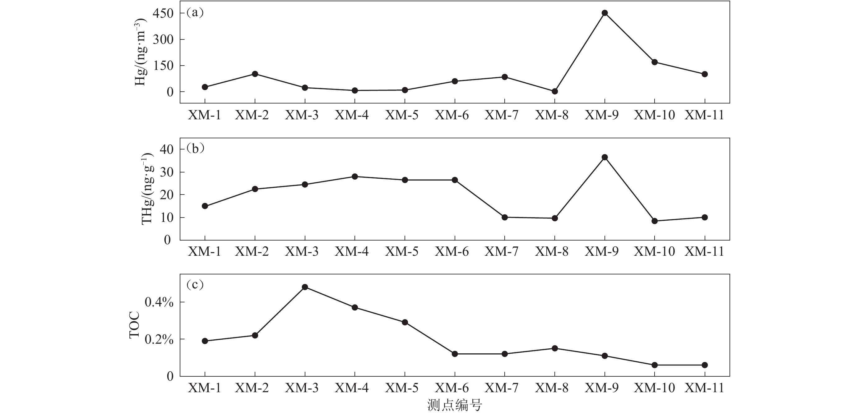
  • 摘要: 对安宁河断裂带地表破裂带土壤的总汞(THg)、总有机碳(TOC)和主量元素的含量进行了研究。结果表明,在小庙和紫马跨地表破裂带测线上,土壤THg与土壤气Hg含量的峰值位置较为一致,能够指示出断裂带释放Hg的通道位置。小庙、羊福山、野鸡洞和紫马跨地表破裂带土壤垂向剖面上THg与TOC的相关系数表明,TOC是影响土壤THg含量的重要因素。通过土壤THg与TOC,THg与化学蚀变指数(CIA)的相关系数以及THg含量的垂向分布模式,识别出安宁河断裂带土壤THg剖面的干扰来源、背景来源和断裂带脱气来源,为分析Hg的分布特征与构造活动之间的关系提供参考依据。

     

    Abstract: In this paper, the concentrations of total mercury, total organic carbon and major elements of soil in the surface rupture zone of Anninghe fault zone were analyzed. The results showed that the peak distribution of total mercury was consistent with that of soil gas mercury in Xiaomiao and Zimakua area, which may reveal the channel location of mercury released from the fault. The correlation coefficient between total mercury and total organic carbon in the soil vertical profiles of Xiaomiao, Yangfushan, Yejidong and Zimakua indicated that, total organic carbon was an important factor to control the distribution of total mercury concentration in the soil. The correlation coefficient among total mercury, total organic carbon and CIA index and vertical distribution of mercury concentration indicated that the sources of mercury in the soil profiles were affected by interference, background and the fault degassing. This study provides a reference for analyzing the relationship between distribution of mercury and tectonic activity.

     

/

返回文章
返回