短期地震预测准确性的定量评价方法

The evaluation method for the accuracy of short-term earthquake prediction

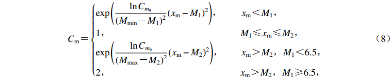
  • 摘要: 预测效果的科学评价是预测学科必须要解决的问题,对地震预测效果的评价一般分为两种,一种是对单次预测成败的评判,另一种是对方法或手段多次预测效果的统计评分。本文提出了针对单次有震预测是否准确的定量评价方法,即地震预测准确性A值评分法。针对我国地震预测现状,本文约定了准确性评分由预测与实际地震的对应情况(简称“对应度” )和时、空、强预测窗口的精确程度(简称“精确度” )综合决定,同时,还给出了对应度的计算方法和精确度的评价标准。通过对四川省地震局2013年2月上报的短期预测意见进行试算,结果表明该方法具有可行性,可用于短期地震预测意见统一管理的准确性评价。

     

    Abstract: Scientific evaluation of prediction effect is a problem that must be solved in prediction discipline. There are two kinds of evaluation of earthquake prediction effect, one is the evaluation of single prediction, the other is the statistical evaluation of multiple prediction effects of a method. This paper presents a quantitative evaluation method for the accuracy of single earthquake prediction, which is called accuracy score method (abbreviated as " A score” ). In view of the present situation of earthquake prediction in China, this paper stipulates that the accuracy score is determined by the corresponding situation between prediction and actual earthquake (abbreviated as " correspondence score” ) and the exactitude of time, space and strong prediction window (abbreviated as" exactitude score” ). This paper also shows the calculation method of correspondence score and exactitude score. The opinions and examples of the short-term prediction reported by Sichuan Earthquake Agency in February 2013 show that this method is scientific and reasonable, and can be used for the evaluation and unified management of short-term earthquake prediction.

     

/

返回文章
返回