基于深度学习残差网络模型的地震和爆破识别

Earthquake and explosion identification based on Deep Learning residual network model

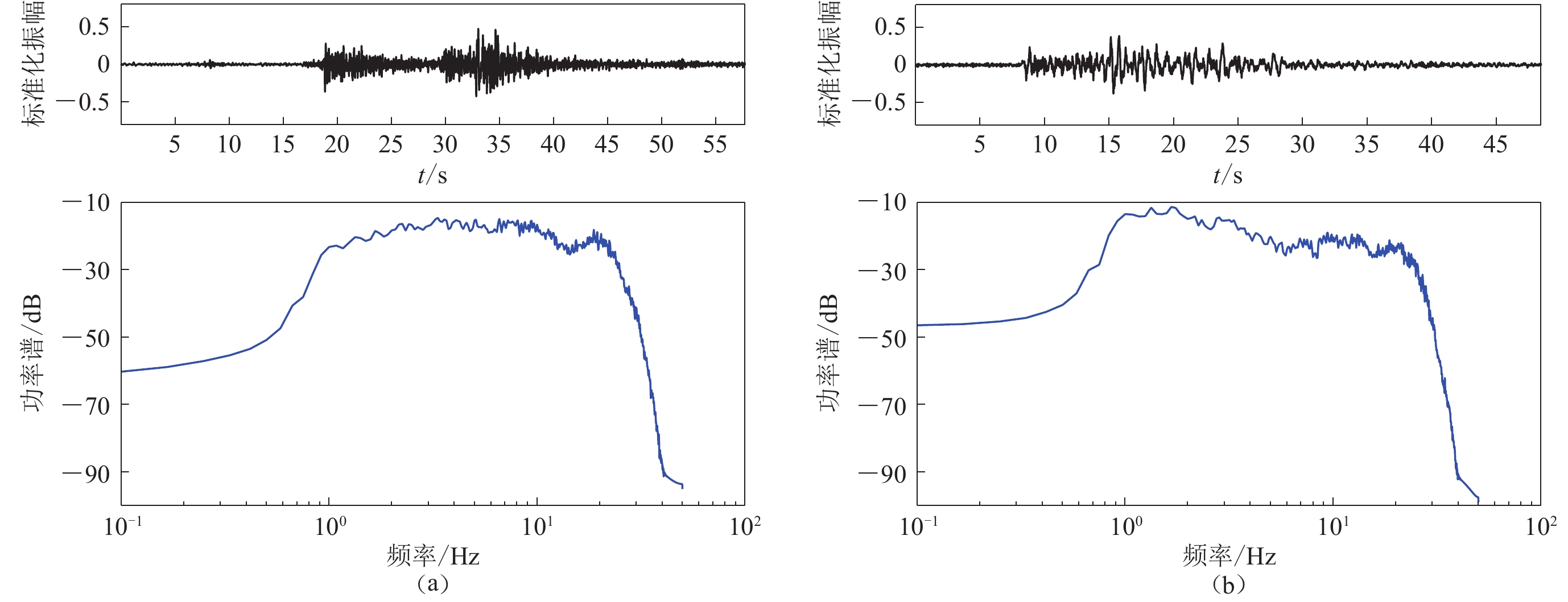
  • 摘要: 为加强对地震台网记录的天然地震与人工爆破事件进行准确的性质识别,本文基于深度学习技术中的残差网络模型,提出了一种新的爆破识别方法,并根据北京数字遥测地震台网及国家数字测震台网中心记录的波形数据及其发布的包含事件性质的地震报告,选取河北三河采石场的93次爆破事件和54次周边地震事件的波形功率谱,分别采用不同的训练样本比例进行了100次和1 000次独立的随机抽样子试验以及 “留一交叉验证法” 试验,对人工爆破与天然地震进行了识别研究。试验结果表明,深度学习残差网络模型在天然地震与爆破事件的性质识别中具有很高的识别率且效果稳定,具有较好的应用前景。

     

    Abstract: In order to enhance the property identification of earthquakes and explosions recorded by seismic network, this paper proposed a new technology of explosion discrimination based on the residual network model in Deep Learning technology, and utilized it to identifying explosion and surrounding earthquakes in Sanhe Quarry of Hebei Province. According to the waveform data recorded by the Beijing Digital Telemetry Seismic Network and China Center of Digital Seismic Network, and the released seismic phase reports, we analyzed the waveform power spectrum of 93 explosion events and 54 surrounding seismic events in Sanhe Quarry of Hebei Province. Moreover, 100 independent random sampling sub-tests, 1 000 independent random sampling sub-tests and leave-one-out-cross-validation test were conducted by adopting different training sample proportions, respectively. The test results show that the residual network model in Deep Learning has a high recognition rate and a stable effect in identifying the property of earthquakes and explosions, therefore it has a wonderfully potential application.

     

/

返回文章
返回