震源机制一致性的显著性检验方法

Significance test of focal mechanism consistency:Taking the foreshock sequence of the MS5.4 Xiuyan earthquake on November 29,1999 as an example

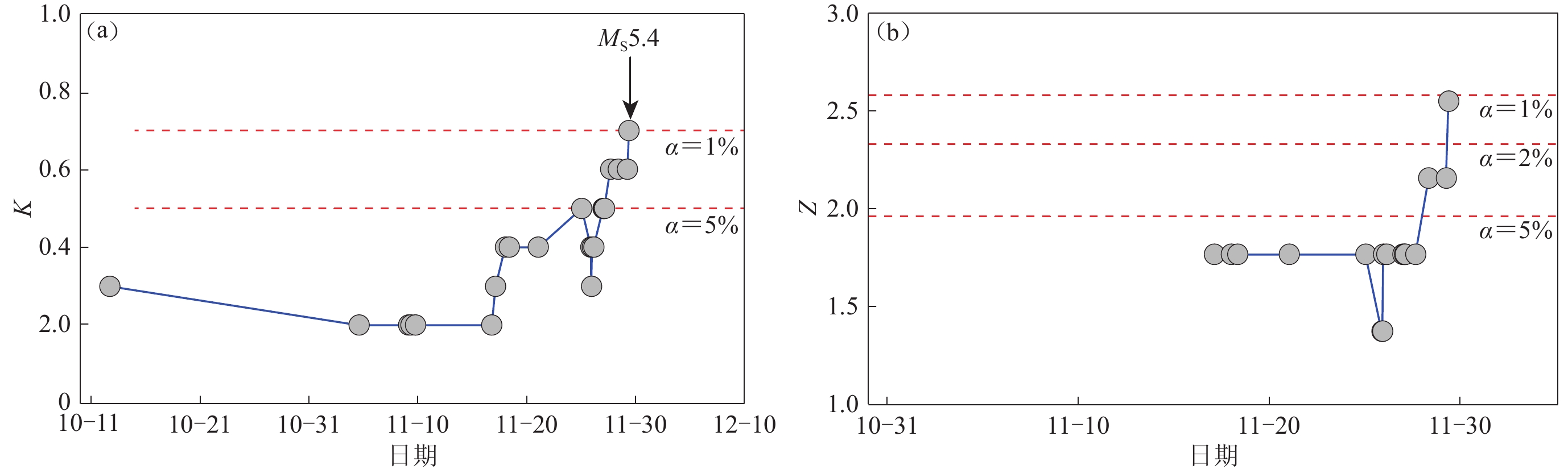
  • 摘要: 本文提出用四维空间的欧氏距离DFM来表示不同地震震源机制之间的一致性,并以1975年辽宁海城ML7.3地震序列和1999年辽宁岫岩MS5.4地震序列为例分析了主震与前震和余震的震源机制一致性与DFM值之间的关系,其结果显示,当欧氏距离DFM<50时,两次地震的震源机制接近。为了对若干次地震组成的一组地震的震源机制一致性进行判定,引入了显著性检验方法。根据陈颙提出的震源机制一致性参数K,以符号检验法和统计检验量Z值检验法对岫岩MS5.4地震前小震的震源机制一致性进行了分析,其结果表明,在临近岫岩MS5.4地震前所发生地震的震源机制的一致性显著,置信度可达98%。

     

    Abstract: This paper selected the Euclidean distance DFM to measure the focal mechanism consistency between different earthquakes, and analyzed the relationship between the consistency of focal mechanism and DFM value taking the 1975 ML7.3 Haicheng earthquake sequence and 1999 MS5.4 Xiuyan earthquake sequence as examples. The result shows that when DFM is below 50 the two focal mechanisms become extremely consistent. In order to determine consistency of a number of focal mechanisms the significance test method is drawn into. According to the consistency parameter K proposed by Chen Y, we investigated the consistency of focal mechanism for small earthquakes prior to the MS5.4 Xiuyan earthquake using sign test and Z test. The result suggests that the focal mechanisms of small earthquakes occurred near the MS5.4 Xiuyan main shock are significantly consistent with each other with confidence of 98%. Therefore the method proposed in this paper can be applied to practical earthquake prediction effectively.

     

/

返回文章
返回