BBVS-60型和CMG-3ESPC型地震计性能及记录数据相干性分析

Performance and data coherence analyses of BBVS-60 and CMG-3ESPC seismometers

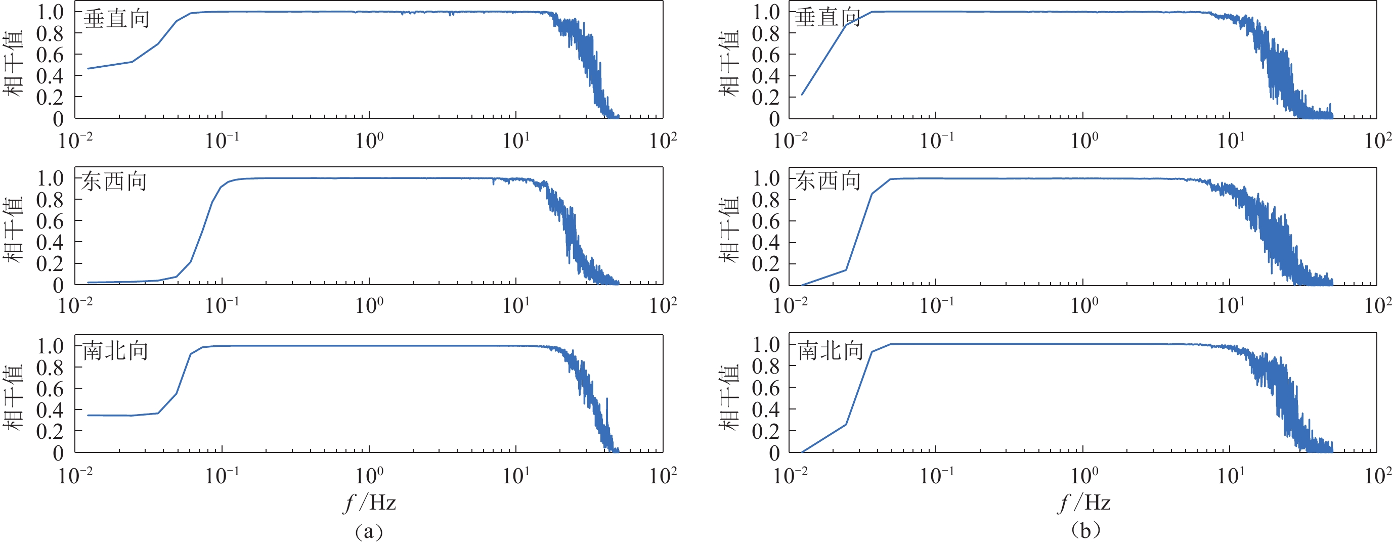
  • 摘要: BBVS-60型和CMG-3ESPC型地震计目前在国内测震数字台网中广泛使用,但两种型号地震计在性能和各类指标上均存在差异。本研究分别在山洞和地表两类不同观测环境的台站上安装BBVS-60型和CMG-3ESPC型地震计,对同点记录的数据对比分析,计算相同分量间的相干函数值。结果显示,在比测台址观测环境下,两种地震计在0.02—40 Hz (垂直分量)和0.04—40 Hz (水平分量)频段内具有良好的相关性,其中,记录数据在高频(10—40 Hz)和长周期频段(10—50 s)的相关程度受环境因素影响较大。此外,在工作频段内,两种地震计所记录数据的相关程度与输入振动的强度有很大关系。本文分析结果可为设备选型、震相分析以及地震工程研究提供参考。

     

    Abstract: At present, two kinds of seismometers, BBVS-60 and CMG-3ESPC, are widely used in digital seismic networks of China. There are differences in performance and various indicators for two types of seismometers. This study sets up BBVS-60 and CMG-3ESPC seismometers at the surface station and the cave stations so as to compare observation data at the same point, and further to calculate the coherence function values. The results show that there are good correlation between the vertical components recorded by the two kinds of seismo-meters in the frequency range of 0.02−40 Hz and between the horizontal components in the frequency range of 0.04−40 Hz in the observation environment of the comparative station, and the correlativity of the recorded data in the high-frequency (10−40 Hz) and long-period frequency band (10−50 s) is greatly affected by the environmental factors. In addition, the correlativity of the data recorded by the two seismometers has a lot to do with the strength of the input vibration in operating frequency range. The results can provide reference for equipment selection, seismic phase analysis and seismic engineering research.

     

/

返回文章
返回