用最小二乘配置法构建局部重力场模型

Regional gravity field model constructed by the least squares collocation

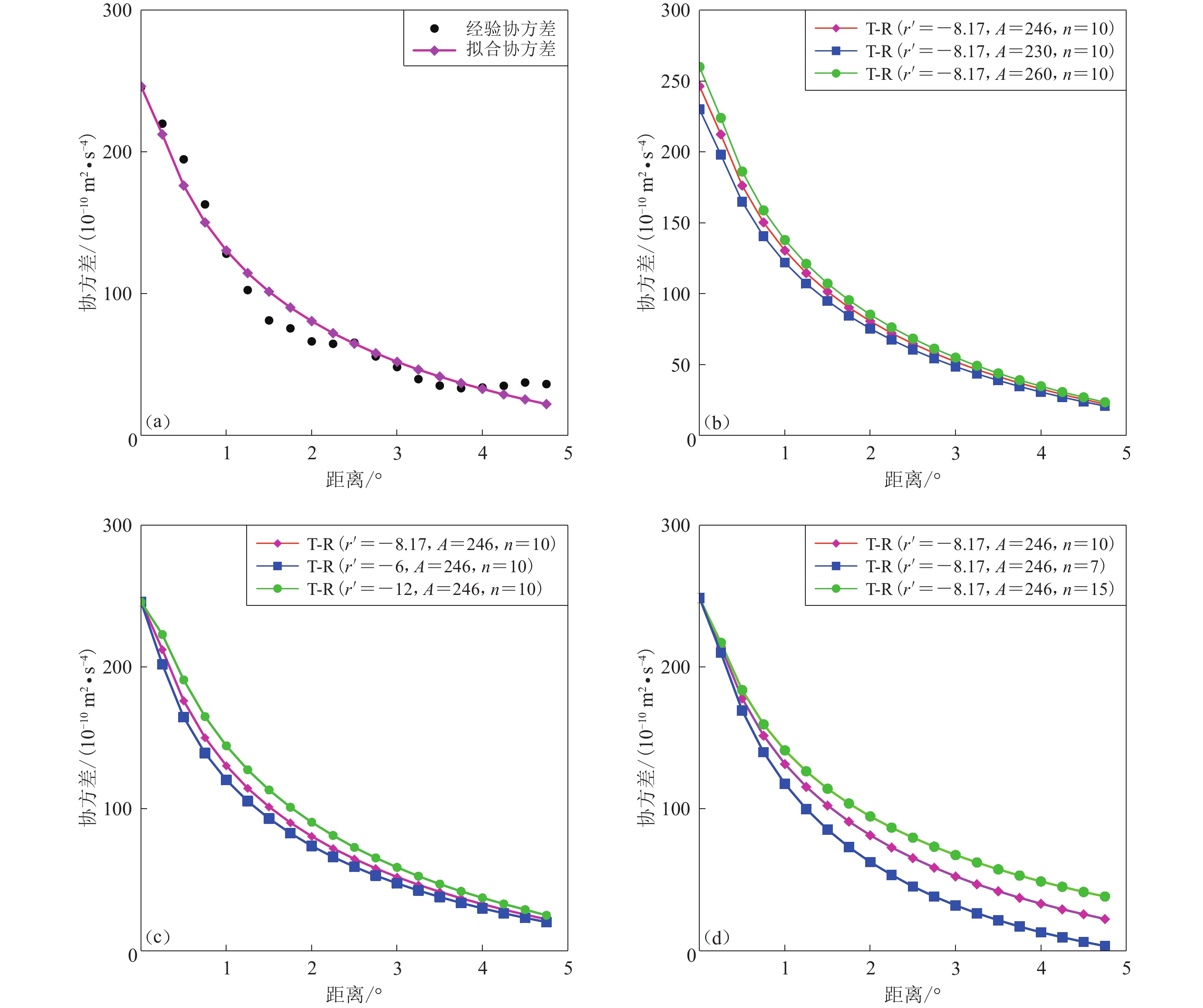
  • 摘要: 基于非均匀分布的陆地重力观测数据,重构局部重力场模型是区域重力资料处理与解释的重要环节。本文对比了多种局部重力场建模方法,并以EGM2008模型提供的自由空气重力异常模型重采样数据进行测试,综合比较了不同噪声条件下不同建模方法的实际效果。结果表明:在不同噪声水平下,优选出适合重力位场问题的协方差函数后,最小二乘配置法的建模效果优于其它方法。

     

    Abstract: Based on the non-uniform distribution of terrestrial gravity observation data, the reconstruction of local gravity field model is a key to the processing and interpretation of regional gravity data. In this paper, a variety of local gravity field modeling methods are compared, and the resampling data of the free air gravity anomaly model provided by the EGM2008 model are tested, and the actual effects of different modeling methods under different noise conditions are compared. The results show that the least squares collocation method is better than other ones in modeling when the covariance function suitable for gravity potential field problem is optimized at different noise levels.

     

/

返回文章
返回