Abstract:
In order to better explore the causes of the
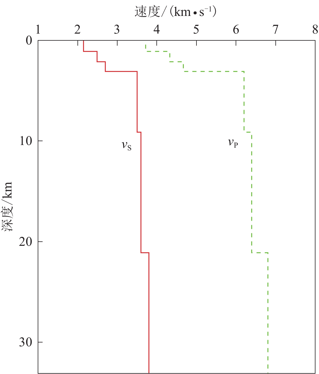
MS4.4 earthquake occurred on August 11 2016, in Dianjiang, Chongqing, this paper analyzes the strong dispersion of Rayleigh surface wave, and the phenomenon suggests that this earthquake has obvious shallow-source earthquake characteristics. Then, we obtained the focal mechanism and focal depth of the earthquake with CAP method. The results show that the earthquake is a thrust event with strike of nearly EW-trending, the moment magnitude is
MW4.1 and the estimated focal depth is 1−2 km. Finally, from the comprehensive research on mechanism solution, earthquake field damages, the isoseismal curve major axis direction and the geological section, we conclude that the Dianjiang
MS4.4 earthquake is caused by the slip of oblique fractures in the interlayers resulted from compressive deformations of soft strata in sedimentary covers under the concentrated loading of the regional stress field, excluding the possibility of the NE-trending Huangqinyakou fault as the seismogenic structure of the Dianjiang
MS4.4 earthquake.