中国东南沿海地区钻孔体应变对超强台风“利奇马” 的响应特征与机制

Signature and physical mechanism of borehole dilatometers in response to super typhoon Lekima in southeastern coastal area of China

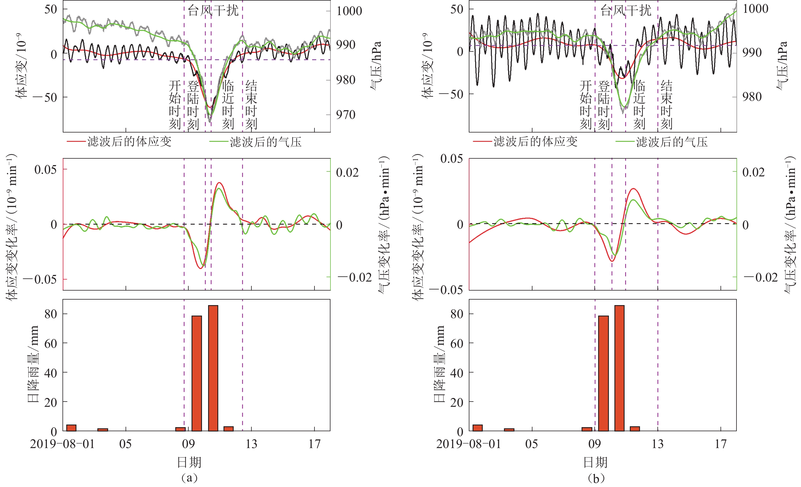
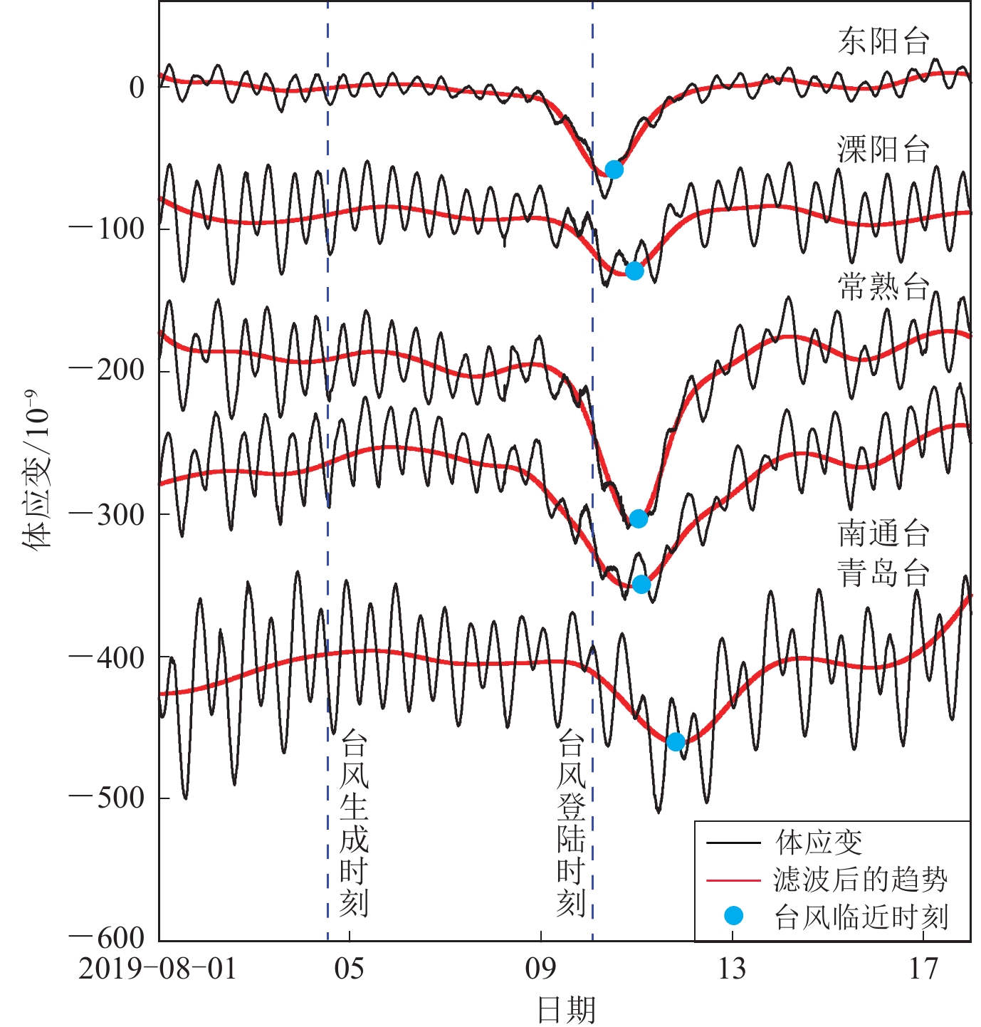
  • 摘要: 依据超强台风 “利奇马” 的强度和时空演变特征,本文采用经验模态分解等方法系统地分析并揭示了该台风对我国东南沿海地区钻孔体应变影响的全貌,并在此基础上对台风扰动的机制进行了初步探讨。结果表明:① 台风演变过程中漏斗状的长周期气压波动,是造成钻孔体应变大幅张性变化的物理成因,且体应变对台风低压系统具有即时的线弹性响应特征,其变化形态与气压漏斗高度相似,弹性变形的持续时间与气压波动的历时较一致;② 在周期为103 h时,−18.2 hPa的气压变幅便可在地下62 m深处产生高达−112.1×10−9的体应变,该频点的气压影响系数为6.2×10−9/hPa;③ 在空间上,台风中心在980 km以外便能影响体应变观测,且随着台风的不断逼近或远离,其影响程度也相应地逐渐增强或减弱。

     

    Abstract: The aim of this study is to investigate how volumetric strain and super typhoon Lekima interact with each other. By combining the intensity and spatio-temporal evolution of Lekima, we systematically analyze the extracted volumetric deformation of shallow crust at five stations in the southeastern coastal area of China induced by Lekima using a decomposition analysis called the empirical mode decomposition (EMD). Furthermore, we discuss the physical mechanism of typhoon-induced volumetric strain. The results show that: ① The super typhoon’s signature consists in a ground dilatation due to barometric pressure drop drastically, generally followed by a ground compression due to the barometric pressure recovery. The dynamic patterns for the volumetric strain and the barometric pressure are both similar to the symme-trical funnel, and the response of volumetric strain to the barometric pressure is almost instant and linear. In addition, the durations are nearly equivalent for both of them. ② The maximum magnitude in volumetric strain induced by barometric pressure with fluctuation of −18.2 hPa can reach up to −112.1×10−9 in the 62 m deep borehole, and the corresponding coefficient of barometric pressure response is about 6.2×10−9/hPa at the 103-hour period. ③ Obviously, the dilatometer records can be remotely disturbed by super typhoon at a distance of approximately 980 km away from the borehole site. When the typhoon center approaches or moves away from the borehole site, the dilatational magnitude of borehole strain will increase or decrease correspondingly. The obtained results can be used not only for identifying and determining reasonably the physical mechanism of anomalous changes induced by typhoon in low-frequency range for southeastern coastal and inland areas in China, but also for contributing the reliably observational evidences to the theoretical model research for the volumetric strain in response to barometric pressure in the low-frequency range.

     

/

返回文章
返回