直下型断层的破裂速度对盆地地震效应的影响

Influence of rupture velocity of the directly-beneath fault on the basin seismic effect

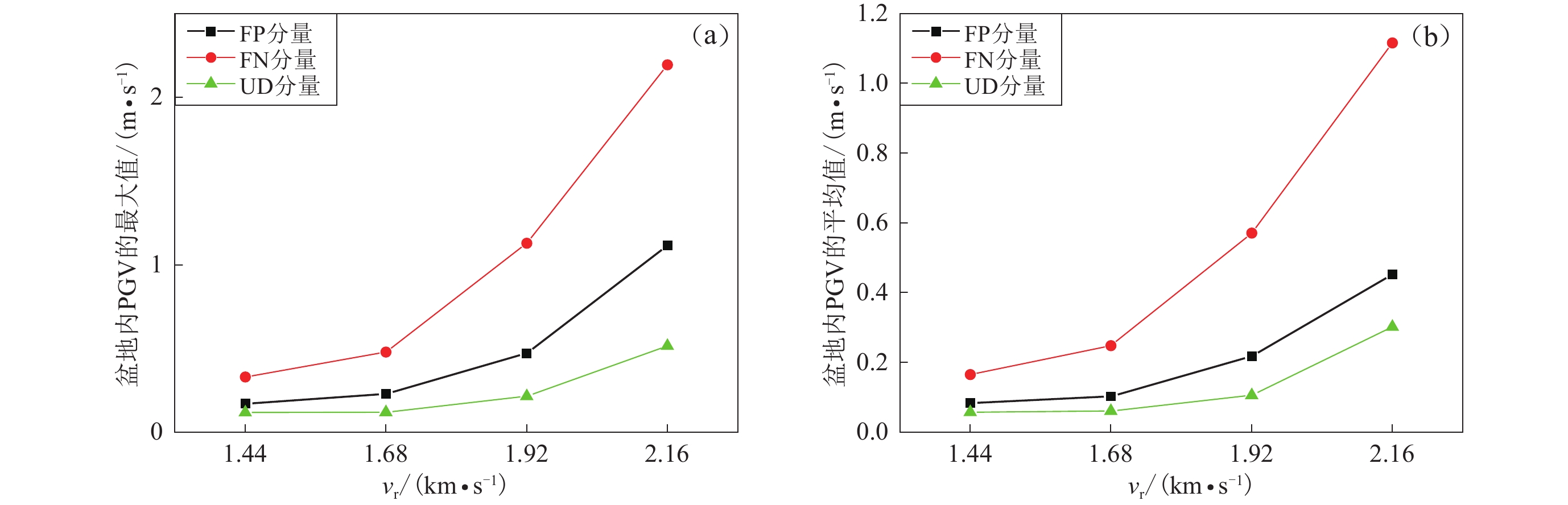
  • 摘要: 首先基于有限断层破裂下的运动学震源模型,对比验证了三维谱元法对于近场地震动的模拟精度。 进而通过含盆地模型与不含盆地的一维水平成层模型的地震动强度之间和放大系数分布特征之间的对比,详细研究了直下型断层的破裂速度对盆地地震效应的影响。结果表明,盆地的存在会显著改变近断层地震动的分布特征,同时盆地内不同分量强地震动的分布特征变化较大。断层破裂速度对盆地地震效应影响显著,随破裂速度的增大盆地地震动强度逐渐增加,但不同分量上地震动强度的增加速率显著不同,受盆地效应的影响,放大系数表现出与强地震动不同的分布特征。盆地放大系数整体表现出随破裂速度的增加而减小的趋势,但不同分量放大系数所受影响程度差异明显。同时,盆地内地震动强烈放大区域的位置也受破裂速度的显著影响,但其总体上集中在断层两侧区域及垂直于破裂方向的盆地边缘附近。

     

    Abstract: Earthquakes caused by strike-slip fault often lead to serious earthquake damage to the cities above the basin when the fault rupture parameters have a significant effect on basin amplification. In this paper, the simulation accuracy of 3D spectral element method for near field vibration is contrasted under the kinematic source model based on the finite fault rupture. Then, by comparing the distribution characteristics of seismic intensity and amplification factor between the basin model and the one-dimensional horizontal layered model with no basin, the influence of the rupture velocity of the fault buried directly beneath the basin on the seismic effect of the basin is studied in detail. The results show that the existence of the basin will significantly change the distribution characteristics of near-fault ground motions, but the distribution characteristics of strong ground motions of different components in the basin will be significantly different. The amplification factor appears different distribution characteristics from strong ground motion with the influence of basin effect. The influence of fault rupture velocity on seismic effect of basin is significant. With the increase of rupture velocity, the ground motion intensity of the basin increases gradually, but the increase rate of different components is significantly different. The amplification factor of the basin overall shows a trend of decreasing with the rupture velocity increasement, but the influence degree for the amplification factor of different components is obviously different. Meanwhile, the location of the area with strong amplification in the basin is also significantly affected by the rupture velocity, but generally concentrated on both sides of the fault as well as near the basin edge perpendicular to the rupture direction.

     

/

返回文章
返回