多因素形变异常诊断方法及其动力学来源分析

Identification of multifactor deformation anomaly and analysis of its dynamic sources

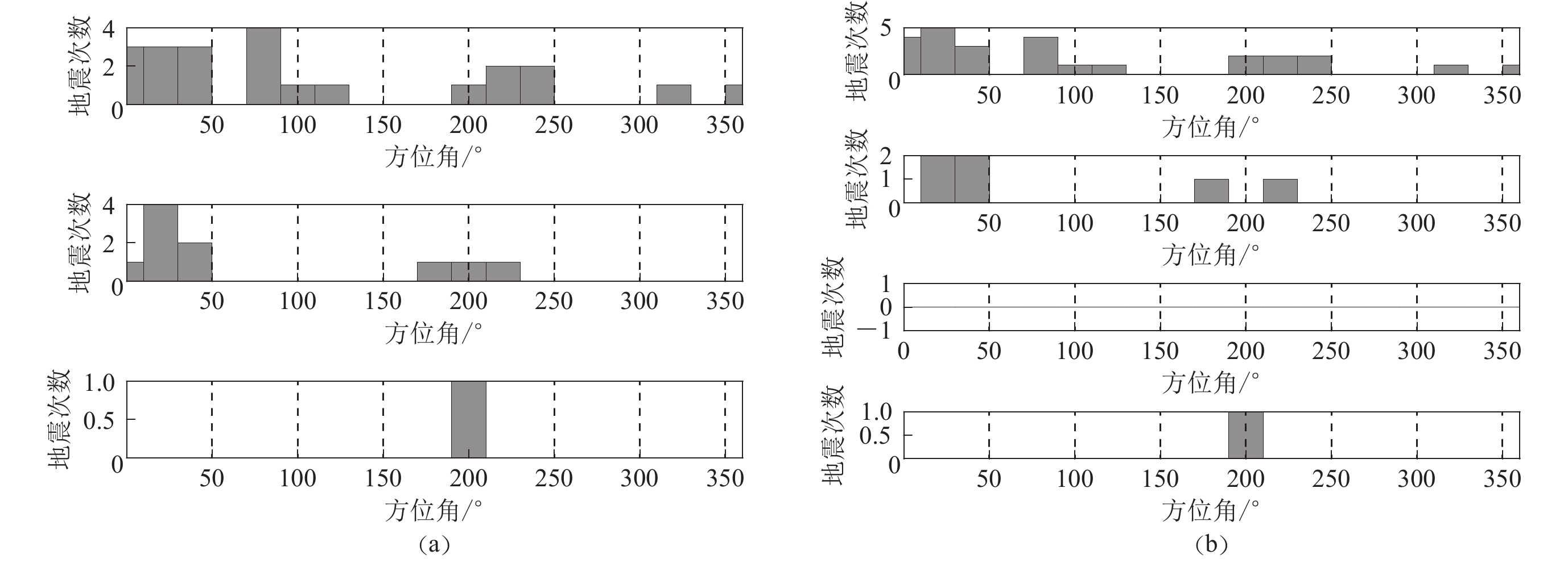
  • 摘要: 气温的升降会造成介质的热胀冷缩,含水量的补充蒸发会导致介质的膨胀收缩,在将这两种因素同时考虑的情况下,提出了基于跨断层短基线测量的形变异常诊断方法,并将其实践于唐山地震台4个测段的短基线观测。研究结果表明,基于短基线观测的形变响应比序列在保持总体趋势稳定变化的同时,在不同的时间出现了显著的幅度变化。经过进一步分析,观察到:① 对于同一测段,形变响应比变化与温度-降雨的变换系数γ有关,当γ过小或者过大时,序列会保持稳定,失去观测分析价值;② 形变响应比幅度变化的动力学来源可能是台站周边的地震,而且是台站东北方向50 km以内的M≥4.0地震。对于不同测段,形变响应比幅值变化与地震的相关性有所差异,其中垂直于断层测量方向的两个测段得到的形变相应比与地震的相关性最好,与断层斜交但近乎平行断层走向的测段次之,与断层斜交的测段相关性最差。

     

    Abstract: The rise or fall of air temperature will lead to medium bilge or shrink, so does the supplement or evaporation of the moisture content. Here taking into the two factors, the identification method of deformation abnormality based on short baseline measurements across faults is brought out and is applied to 4 segments of cross-fault short baseline observation in Tangshan station. The result shows that the series of the deformation response ratio always keep constant, with some markable amplitude variations at different time. From the detailed work, we found that: ① For the same segment, the deformation response ratios are related with the transition coefficient γ of the temperature and rain, and the series will keep stable if γ is enough small or large, which means the useless of this parameter analysis; ② The dynamic source of the amplitude variation of deformation response ratio is possibly related to the M≥4.0 earthquakes within 50 km northeast to the station. For different segments, the correlations between the amplitude of deformation response ratio and the earthquakes are some different. In the four segments, correlations for the two segments perpendicular to the fault are high, while the segment that is oblique to and in the same time nearly parallel to the fault, and that for the cross-fault segment is the worst.

     

/

返回文章
返回