利用中国北部连续重力站资料评估全球潮汐模型精度

Accuracy estimation of global tide models using continuous gravity observation data in northern China

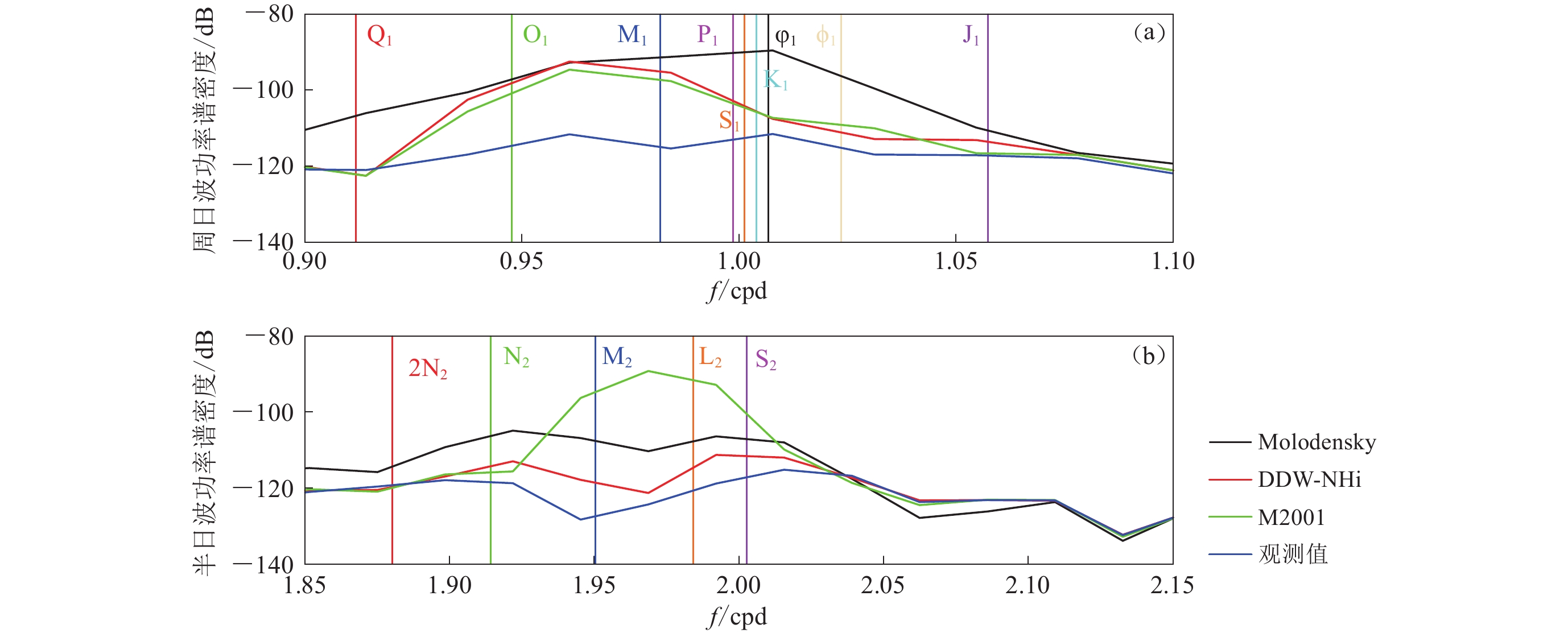
  • 摘要: 为评估全球潮汐模型在我国潮汐改正中的适用性,本文首先对10个重力站2016—2018年的观测数据进行了精度评定,而后基于均方根、和方根、纬度依赖关系以及重力残差等指标对7个全球潮汐模型进行了精度评定。结果表明:10个重力站的一些评价指标达到甚至超越了早期超导重力仪,例如M2波潮汐因子的中误差普遍小于0.000 70,其中最高精度约为0.000 14,5个主要潮波的稳定度均≤0.001 5。在10个观测模型和7个全球潮汐模型中,DDW-NHi和M2001模型考虑了地球扁率的影响,基于这两个模型计算的和方根较其它模型所得的和方根均小,约为0.288×10−8 m/s2。基于最高精度的乌什站数据对Molodensky, DDW-NHi,M2001与观测模型的改正精度的对比显示,DDW-NHi模型改正计算的重力残差(±0.4×10−8—±1.0×10−8 m/s2)不及观测模型(±0.1×10−8—±0.5×10−8 m/s2),但依然优于M2001模型(±0.7×10−8—±1.4×10−8 m/s2),且DDW-NHi模型改正获得的残差比传统的Molodensky模型所得残差(±0.5×10−8—±1.5×10−8 m/s2)小1×10−8—2×10−8 m/s2.

     

    Abstract: To evaluate the applicability of the global tide models for tide correction in China, this paper firstly assessed the data accuracy of ten gravity observation from 2016 to 2018, and then made the accuracy assessment for the seven global tide model by the evaluation indicators such as the root mean square (RMS), the root sum square (RSS), latitude dependence of the gravimetric amplitude factor, and residual gravity. The result shows that some of the evaluation indicators have achieved or even surpassed the accuracy of the early superconducting gravimeters in ten gravity observations. For example, the RMS of the M2 gravimetric amplitude factor was less than 0.000 70, withthe highest RMS about 0.000 14, and the stability of five main tide waves was less than 0.001 5. As for the ten observed and the seven global tide models, the RSS of DDW-NHi and M2001 models with the Earth’s oblateness influence is only about 0.288×10−8 m/s2, which is smaller than others. Comparison of the tide corrected accuracies by Molodensky, DDW-NHi, M2001, and the observed tide models suggests that residual gravity corrected by DDW-NHi (±0.4×10−8—±1.0×10−8 m/s2) is larger than that by observed one (±0.1×10−8—±0.5×10−8 m/s2) for Wushi gravity observatory with the highest tide accuracy, but still smaller than that by M2001 (±0.7×10−8—±1.4×10−8 m/s2). Furthermore, the residual gravity corrected by DDW-NHi is less about 1×10−8—2×10−8 m/s2 than by the traditional Molodensky model.

     

/

返回文章
返回