基于XGBoost机器学习的地磁日变重构方法研究

Reconstruction method for diurnal variations ofthe geomagnetic field by XGBoost machine learning

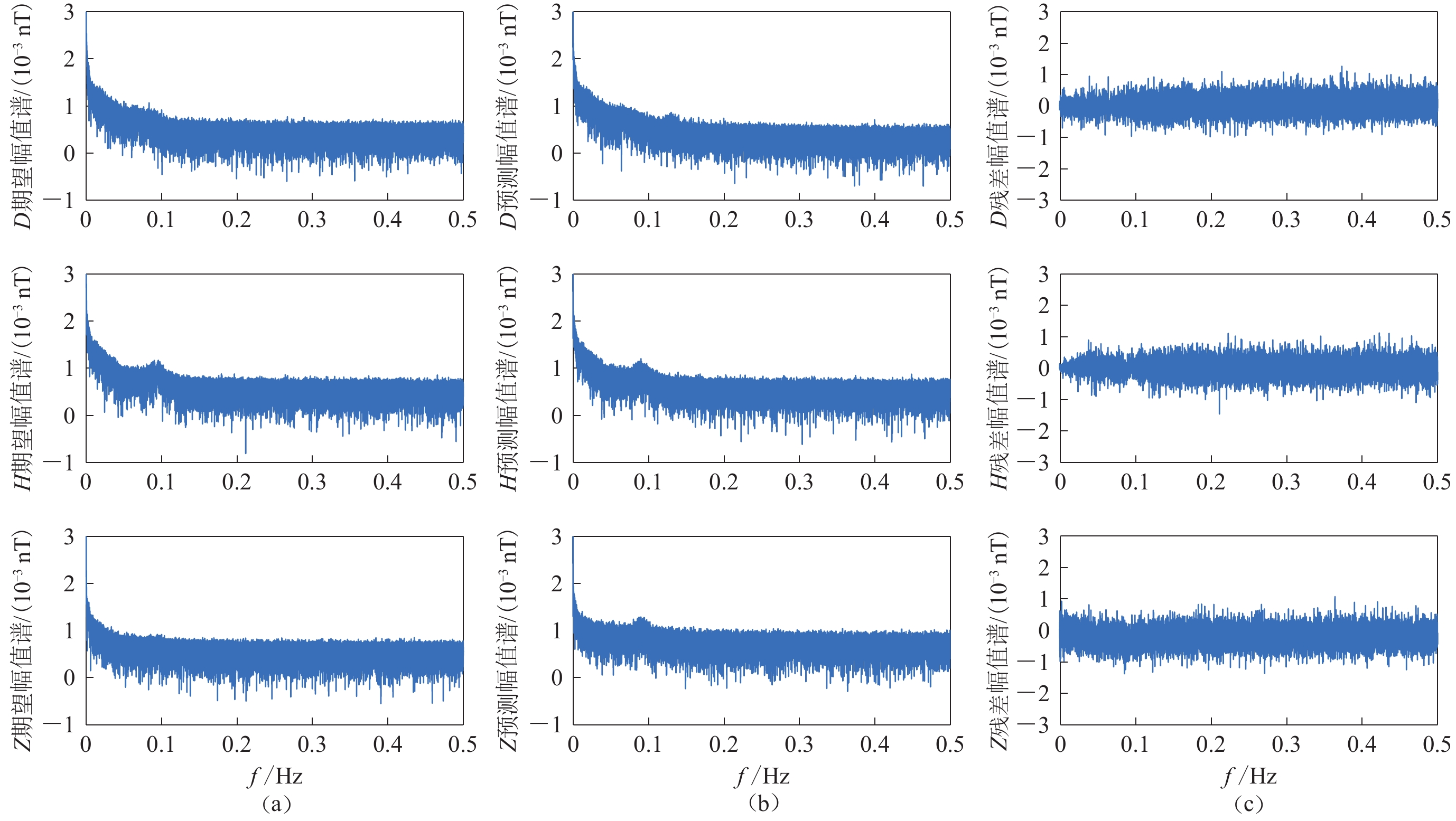
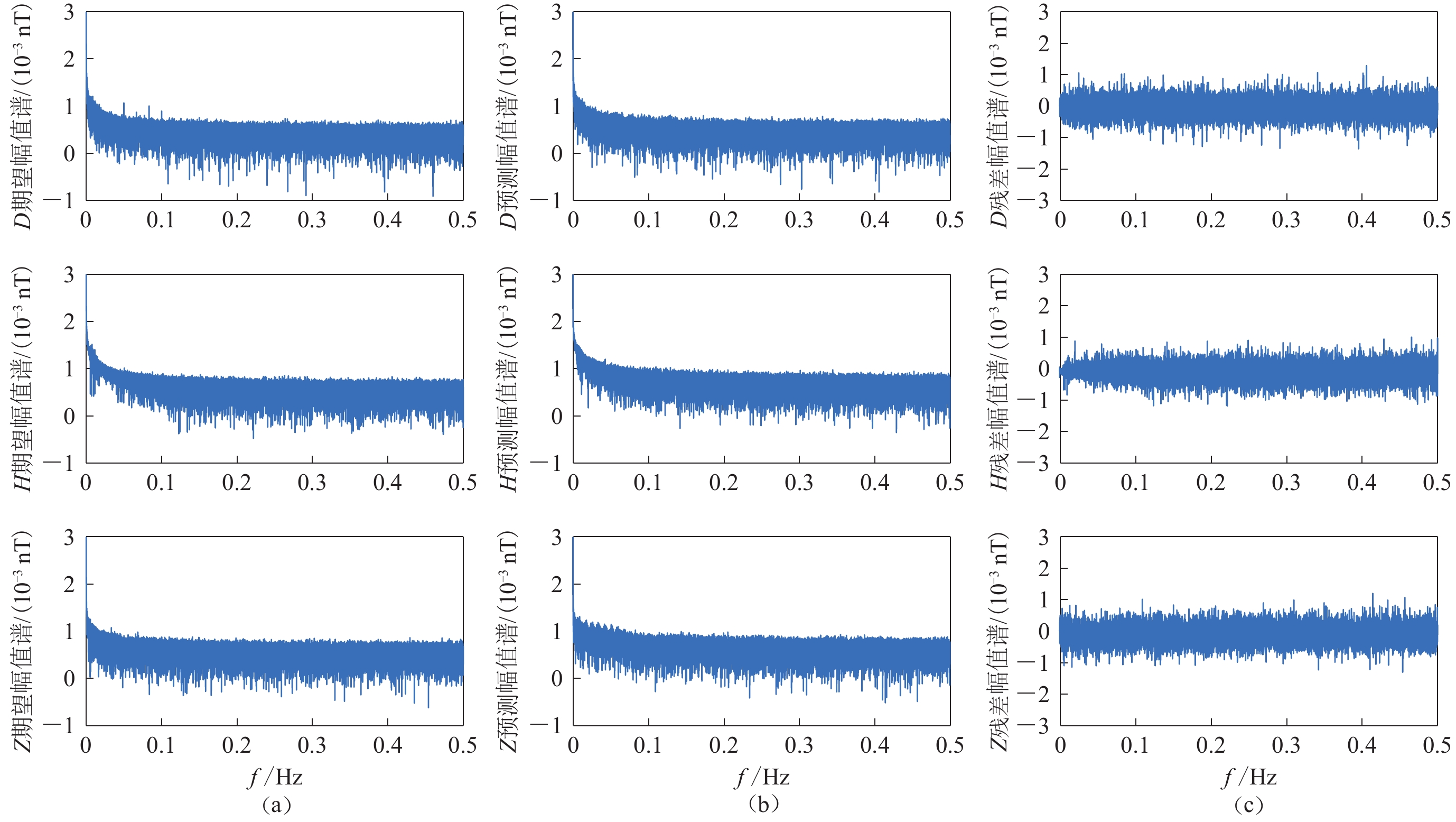
  • 摘要: 为了重构或恢复存在严重干扰或数据缺失的台站观测数据,本文基于周边已有台站的高质量观测数据采用XGBoost机器学习方法重构地磁日变数据。仿真试验结果显示,无论是磁静日还是磁扰日,地磁场分量的绝对残差均值均低于0.1 nT。试验统计数据及重构结果残差曲线的对比分析表明,地磁日变重构精度与地磁活动性和待重构信号的时变剧烈程度有关;相较于反向传播神经网络,XGBoost方法对地磁场日变数据的重构精度更高。本文研究表明,基于XGBoost机器学习的重构方法在处理非线性复杂问题方面具有优势,能够用于高精度重构存在严重干扰或数据缺失的地磁台站观测数据的重构。

     

    Abstract: The long-term observation data of the geomagnetic field based on the geomagnetic stations (networks) are of great value for studying the spatio-temporal variation rules, characteristics, also and the field source information of the geomagnetic field. However, due to infrastructure and human activities (such as high-speed rail, highways, power grids, etc) as well as sudden instrument failures, there are interferences and missing observation data in some time periods for some observation stations. Therefore, this paper utilizes the XGBoost machine learning method to reconstruct the observation data of some stations with severe interference and missing data based on the high-quality observation data of existing stations in their surrounding areas. The results of simulation experiments show that the reconstruction residuals of geomagnetic field components are lower than 0.1 nT whether in magnetically quiet days or in disturbed days. Further comparative analysis of the experimental statistics and residual curve illustrates that the reconstruction accuracy mainly depends on the geomagnetic activity and the time-variable complexity of the signals to be reconstructed, and in addition the reconstruction accuracy by XGBoost method is higher than that by the BP neural network. This research suggests that, the reconstruction method by XGBoost machine learning has an advantage in dealing with nonlinear complex signals, and thus can be effectively applied to reconstruct the observation data of some stations with severe interference and missing data.

     

/

返回文章
返回