逆断层错动对隧道工程影响的数值模拟

Numerical analysis of effect of reverse fault dislocation on tunnel engineering

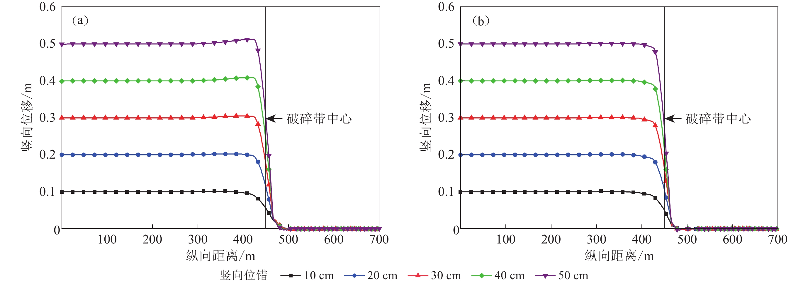
  • 摘要: 由于断层错动导致的围岩永久变形会对隧道结构产生危害,为研究隧道在逆断层错动下的变形与受力特征,本文以成兰铁路穿越北川—映秀断裂的跃龙门隧道工程为研究对象,利用Abaqus软件建立穿越逆断层隧道结构的数值模型,选择参数和设定边界条件,模拟分析在逆断层错动作用下隧道衬砌结构的受力与变形情况。结果表明:逆断层错动引起隧道衬砌结构发生了“S”状弯曲变形,衬砌结构的纵向应力随断层位错量的增加而增加,整体表现为衬砌顶部与底部所受拉压应力分布相反;衬砌顶部拉压应力值均大于底部,且衬砌顶部和底部的压应力值均大于拉应力。

     

    Abstract: The permanent deformation of surrounding rock caused by fault dislocation will do harm to tunnel structure. In order to study the deformation and stress characteristics of tunnel under reverse fault dislocation, this paper takes Yuelongmen tunnel project of Chengdu-Lanzhou railway crossing Beichuan-Yingxiu fault as the research object. Using Abaqus software, the numerical model of tunnel structure crossing reverse fault is established, parameters are selected and boundary conditions are set. The stress and deformation of tunnel lining structure under reverse fault displacement are simulated and analyzed. The results show that the S-shaped bending deformation of the tunnel lining structure is caused by the reverse fault dislocation, and the longitudinal stress of the lining structure increases with the increase of fault dislocation, which shows that the tensile and compressive stress distribution at the top and bottom of the lining is opposite. The tensile and compressive stresses at the top of the lining are greater than those at the bottom, and the compressive stresses at the top and bottom of the lining are greater than the tensile stresses.

     

/

返回文章
返回