2017年精河MS6.6地震的断层参数和破裂过程

Fault parameters and rupture process of the Jinghe MS6.6 earthquake in 2017

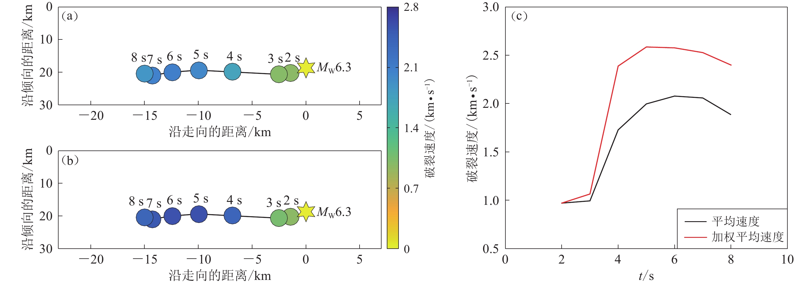
  • 摘要: 利用远震资料、近场强震资料和合成孔径雷达干涉同震形变资料确定了2017年8月9日精河MS6.6地震的断层面参数及震源破裂细节。为得到可靠的断层几何参数,发展了一套基于InSAR数据滑动分布反演的三维格点搜索流程,对本次地震断层面的走向、倾角和震源深度进行了格点搜索。结果显示,地震断层面走向为95°,倾角为47°,震源深度为14 km。基于搜索得到的断层模型进行破裂过程联合反演的结果显示:精河MS6.6地震为一次单侧破裂事件,最大滑动量约为0.8 m,滑动区域集中在断层面上震源以西5—15 km,沿倾向15—25 km,破裂主要发生在10 km深度以下区域。断层面上的平均滑动角为106°。整个破裂过程释放的标量地震矩为3.6×1018 N·m,对应矩震级为MW6.3。破裂过程持续约9 s,期间的破裂速度约为2.1—2.6 km/s。由于地震破裂主要集中在10 km以下,未来可能需要关注该区域0—10 km发生潜在地震的可能性。

     

    Abstract: We estimated the fault geometrical parameters and source rupture details of the Jinghe MS6.6 earthquake on August 9, 2017 by inverting teleseismic, near-field strong-motion and InSAR data. In order to determine the fault geometrical parameters, we conducted a 3-D grid search process by performing geodetic slip inversions with InSAR data, and found theoptimal values of fault strike, dip and hypocentral depth to be 95°, 47° and 14 km, respectively. Joint inversion of rupture process based on the searched fault model shows a unilateral rupture model with a maximum slip of 0.8 m. Slips mainly concentrate between 5−15 km to the west of the hypocenter, and 15−25 km along down-dip direction. Most ruptures occurred beneath 10 km depth. The average rake angle is about 106°, suggesting a purely thrust event of the earthquake. The obtained seismic scalar moment is 3.6×1018 N·m, equivalent to a magnitude of MW6.3. The rupture duration is about 9 s, in which the rupture propagated with the velocity of 2.1−2.6 km/s. Attention to occurrence of earthquakes above 10 km depth in this area may be required, as most ruptures of this earthquake occurred beneath 10 km depth.

     

/

返回文章
返回