华北地区地壳P波和S波速度结构的双差层析成像

Double-difference tomography of crustal P- and S-wave velocity structures beneath North China

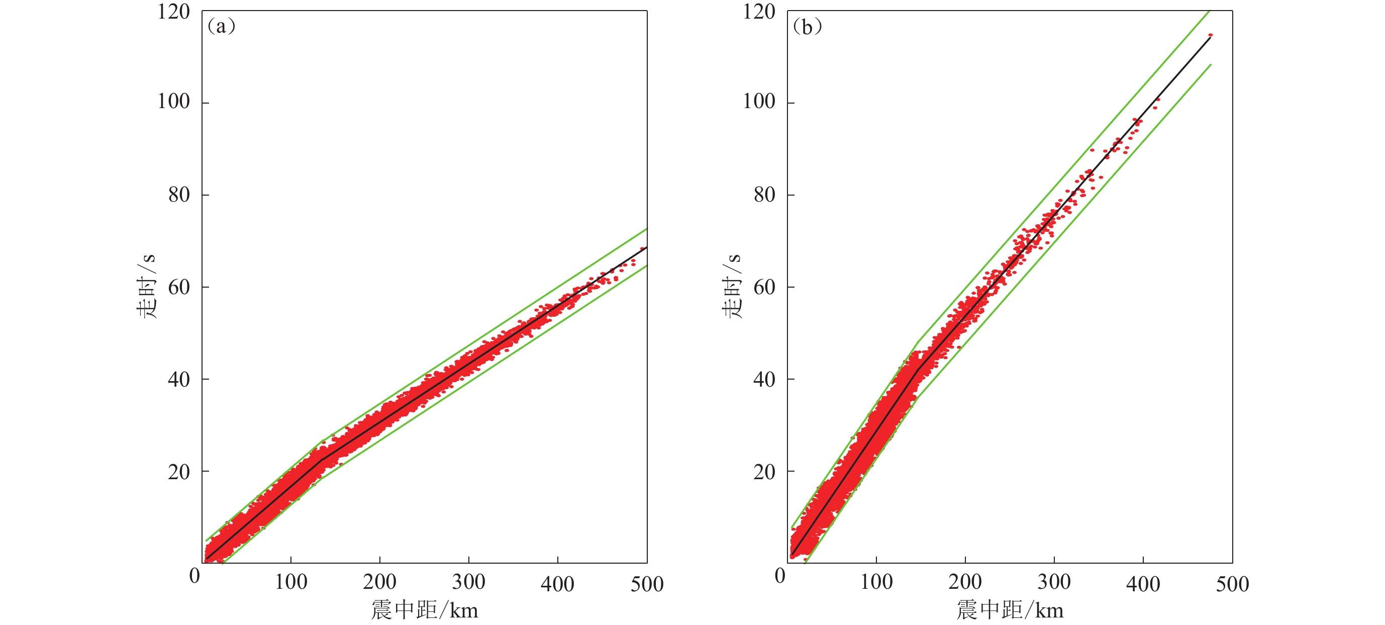
  • 摘要: 基于华北地区(37°N—42°N,113.5°E—118.5°E)133个固定地震台站收集到的P波和S波震相数据,利用双差层析成像法反演了该地区地壳三维速度结构并对所用地震进行了重定位。结果显示:地震走时残差均方根的平均值由重定位前的0.265 s下降至0.008 s;重定位后的震源主要分布于6—16 km深度范围内;重定位后的地震在地质构造上主要呈条带状分布于断裂上,在速度结构上主要分布于高低速过渡带上且偏于高速区一侧,其中唐山、邢台震源区中下地壳内低速体的存在可能与深部流体、地幔热物质上涌有关;研究区内上地壳与中下地壳的高、低速分布特征有较大的差异,上地壳的速度主要受大地构造的控制,而中下地壳的速度与壳幔间作用、莫霍面隆升以及软流圈物质上涌等紧密相关。根据华北地区构造格局、演化过程、前人成果以及本文的地壳速度结构模型,本文推测华北克拉通破坏后,岩石圈大幅度减薄,软流圈物质上涌,这使得深部流体和高温岩浆沿着深部断裂和裂隙上涌侵入中下地壳,导致中下地壳发震层的部分熔融与弱化,从而为地震的孕育和发生创造了条件.

     

    Abstract: In this paper, crustal P- and S-wave velocity structures of North China (37°N−42°N, 113.5°E−118.5°E) are imaged with seismic phase data from 133 permanent seismic stations in this area by double-difference tomography, and the earthquakes used in the tomography are also relocated. The results show that the average RMS of travel time residuals decreases from 0.265 s to 0.008 s, the relocated hypocenters are mainly between 6 km and 16 km in depth, and the corresponding epicenters are mostly distributed along faults. Most of the earthquakes occur on the transitional zone between low- and high-velocity areas and on the side of the high-velocity zone. In Tangshan and Xingtai, where great earthquakes took place, low velocity bodies in middle and lower crust probably result from the upwelling of deep fluids and hot mantle material. Moreover, the velocity distribution in upper crust is very different from that in middle-lower crust. In the upper crust, it is mainly controlled by the tectonic structure and the faults; in the middle-lower crust, it is closely related to the crust-mantle interaction, the Moho uplift, and the upwelling of the asthenosphere material. Based on the tectonic pattern, evolution history and previous studies, it is deduced that the destruction of the North China Craton results in the thinning of the lithosphere and the upwelling of the asthenosphere material; hence, deep fluids and hot magma go up through faults and ruptures and intrude into the middle and lower crust; as a result, these crustal parts become weak and partly melt, which is favorable for generating earthquakes.

     

/

返回文章
返回