中美建筑抗震设计规范中工程场地类别的对比和换算关系

Comparative analysis and transformation relations between China and the US site classification systems in building seismic code provisions

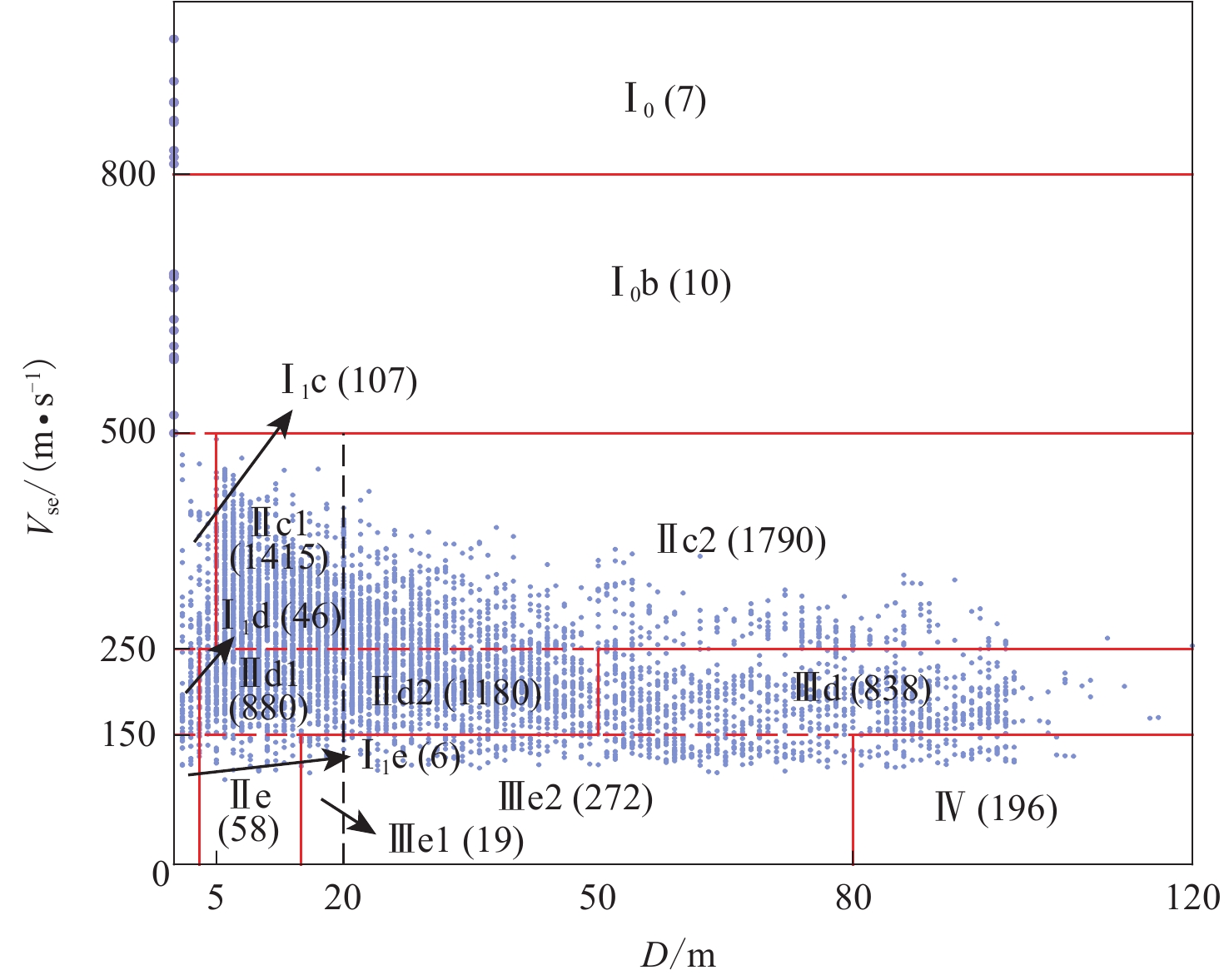
  • 摘要: 本文依据分布于全国的6 824个钻孔数据,按照双参数的不同取值,将GB50011—2010《建筑抗震设计规范》(以下简称中国建抗规)的场地类别进一步划分为更加同质的子类,分析了双参数体系对场地分类结果的影响,建立了每个子类与美国《NEHRP对新建建筑和结构物的推荐地震条款》(National Earthquake Hazards Reduction Program Recommended Provisions for Seismic Regulations for New Buildings and Other Structures,以下简称美国建抗规)的场地类别的对应关系,并对比分析中、美建抗规的场地类别差异,在此基础上建立了中国建抗规与美国建抗规场地类别相互转换的概率表达。研究结果表明:用vS20近似表示中国场地分类标准的等效剪切波速并不可靠;中国建抗规中Ⅱ类场地和Ⅲ类场地内部不同子类与美国建抗规中场地类别的对应关系截然不同;中国建抗规中覆盖层厚度有效地区分了浅部波速类似而深部波速不同的场地;中国建抗规的Ⅱ类和Ⅲ类场地主体均对应美国建抗规的D类场地,中国Ⅱ类场地略偏对应美国C类场地,中国Ⅲ类场地略偏对应美国E类场地;中国Ⅳ类场地对应美国E类场地,绝大多数美国C类和D类场地均对应中国Ⅱ类场地,说明中国Ⅱ类场地的范围极宽。

     

    Abstract: In this study, based on 6 824 borehole profiles, we subdivide the site classes in GB 50011-2010 Code for Seismic Design of Buildings (Chinese code) into more homogeneous sub-classes by different values of the equivalent shear wave velocity (vSe) and site overlaying layers (D), and quantitatively analysis the effect of each parameters in the site classification schedule in the code. We build the relation between these sub-classes of the China code and classes of the US seismic design code National Earthquake Hazards Reduction Program Recommended Provisions for Seismic Regulations for New Buildings and Other Structures, carry out comparative analysis on two classification schedules, and build the probabilistic transformation relations for interconverting China site classes and the US site classes. The results show that: It is not appropriate to take the average shear wave velocity to a depth of 20 m (vS20) as the proxy for vSe in site classification of China code; for China site class Ⅱ and Ⅲ, different sub-classes have significantly different corresponding relations with the US site classes; the D effectively distinguishes the sites those velocity structures are similar at shallow layers while different at deeper layers; the main part of China site class Ⅱ and Ⅲ are both corresponding to the US site class D, the China site class Ⅱ leans to the US site class C, while the China site class Ⅲ leans to the US site class E; China site class Ⅳ is corresponding to the US site class E; most of the US site class C and D are both corresponding to China site class Ⅱ.It implies that the range of China site class Ⅱ is relatively vast.

     

/

返回文章
返回