二维平面内考虑横向不均匀体散射作用的水平竖向谱比模拟与应用

Study on 2D in-plane HVSR simulation and application with transverse inhomogeneous body scattering

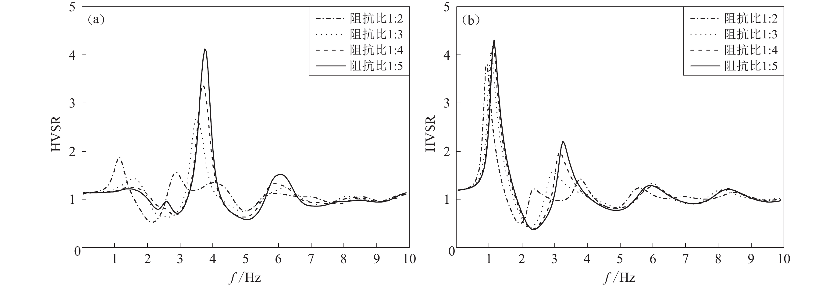
  • 摘要: 为分析场地的横向不均匀性对水平竖向谱比HVSR曲线产生的显著影响,本文基于Sánchez-Sesma等提出的扩散场方法,通过计算总波场格林函数虚部对二维沉积地形上的HVSR曲线进行模拟。格林函数虚部则通过刚度矩阵和平面内斜线格林函数采用间接边界元方法进行求解。对二维沉积地形和相应的一维层状半空间的HVSR曲线进行了参数分析,着重讨论了沉积地形的形状、相对计算点位置等因素对HVSR曲线的影响规律。结果表明:沉积地形内外材料阻抗比对HVSR曲线的影响最为显著;随着沉积地形内外材料阻抗差异和沉积侧界面坡度的增大,沉积地形上HVSR曲线的第一峰值点的频率显著增大至相应层状半空间结果的3.3倍,同时HVSR曲线的形态呈现出平台现象;随着计算点到沉积边界距离的减小,HVSR曲线高频段幅值相对较大。根据本文得到的局部地形对HVSR曲线的影响规律,在进行场地勘探时可采用HVSR方法初步确定局部地形的分布位置以降低勘探成本。

     

    Abstract: In order to analyze the significant influence of lateral inhomogeneity of site on horizontal-to-vertical spectral ratio (HVSR) curves, the diffuse field approach proposed by Sánchez-Sesma et alwas adopted to simulate the HVSR curves of 2-D sediment topography by calculating the imaginary part of Green’s functions of total wave field. The imaginary part of Green’s functions was solved by the dynamic stiffness matrix and in-plane inclined Green’s functions based on the indirect boundary element method (IBEM). The HVSR curves of 2-D sediment topographies and corresponding 1-D layered half-space were compared, the influences of sediment topography shapes and the relative position of calculation points on the HVSR curve were discussed in detail. The results show that the effect of impedance ratio between inside and outside materials of sediment topography on HVSR is the most significant; With the increase of the impedance ratio and the slopes of the interface on the sediment side, the frequencies of the first peak of HVSR curves increase significantly, which can be up to 3.3 times of the corresponding layered half-space results, simultaneously, platform emerges on HVSR curves; Amplitudes of HVSR curves in high frequency band increase with the decrease of distances from the calculation points to the sediment boundary. According to the results obtained in this study, the HVSR method can be used to preliminarily determine the place where local sediment topography exists. From this aspect, the cost of regional geophysical investigation can be reduced visibly via HVSR method.

     

/

返回文章
返回