芦山地震强地面运动之阿里亚斯强度及Newmark位移特征研究

Characteristics of Arias intensity and Newmark displacement of strong ground motion in Lushan earthquake

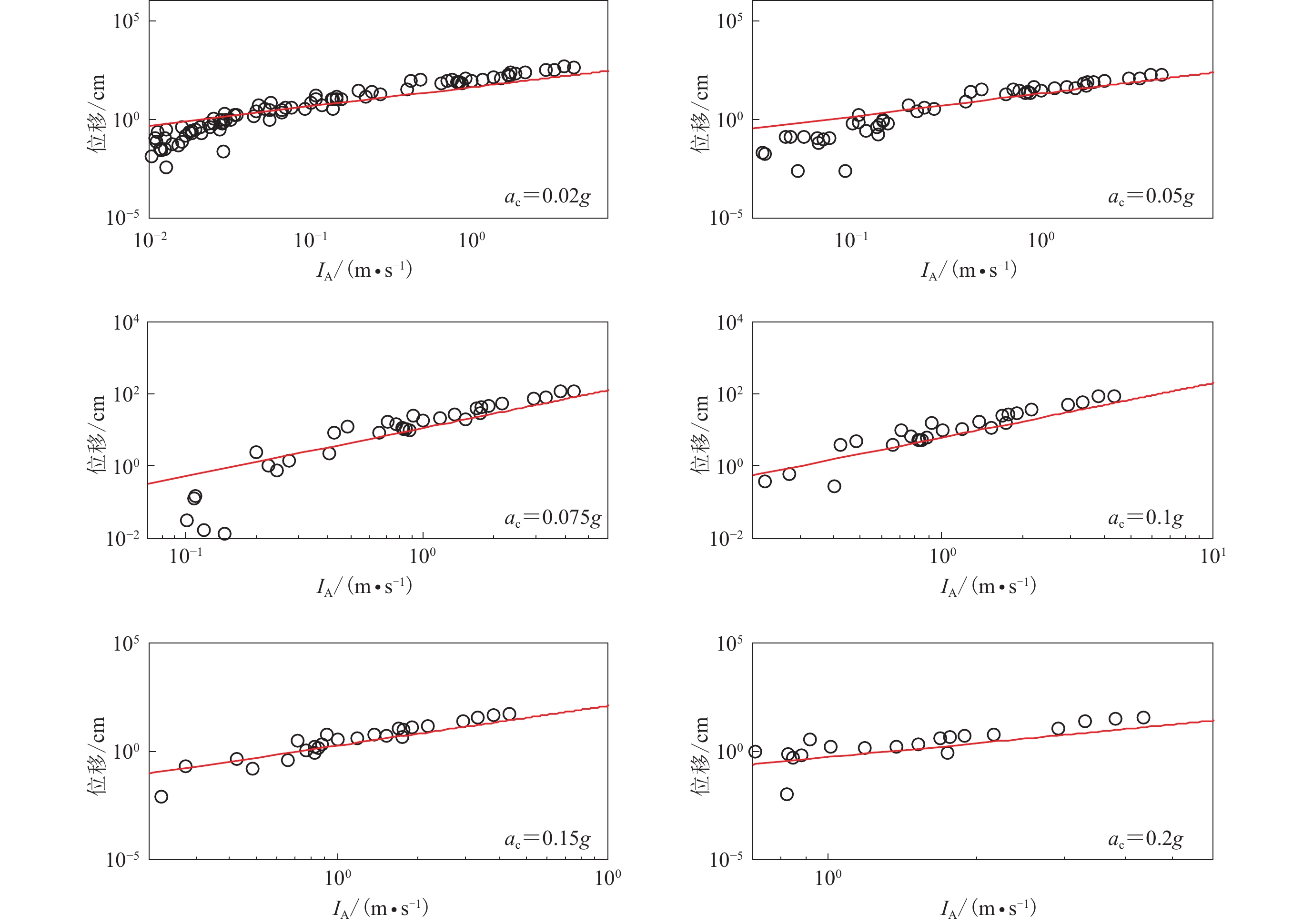
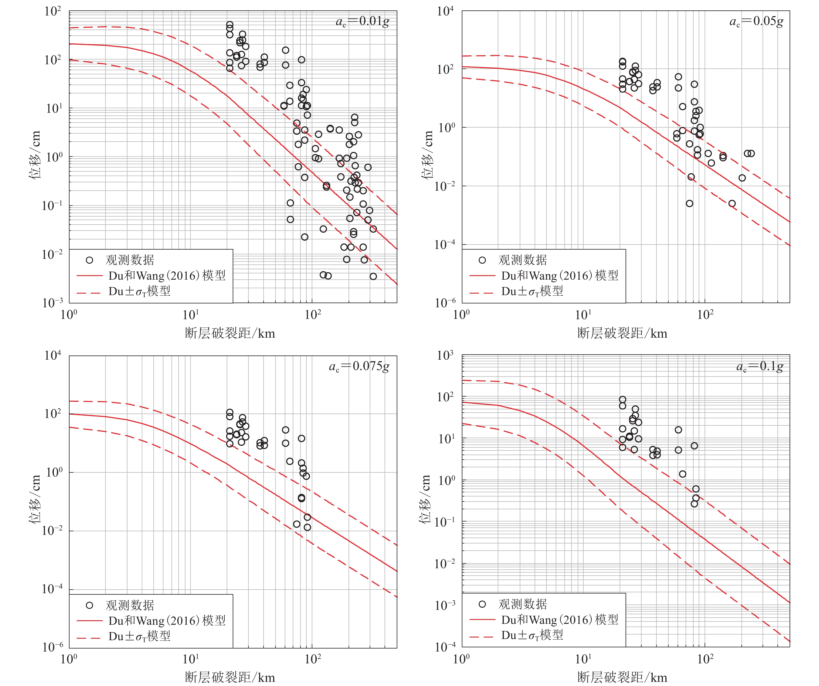
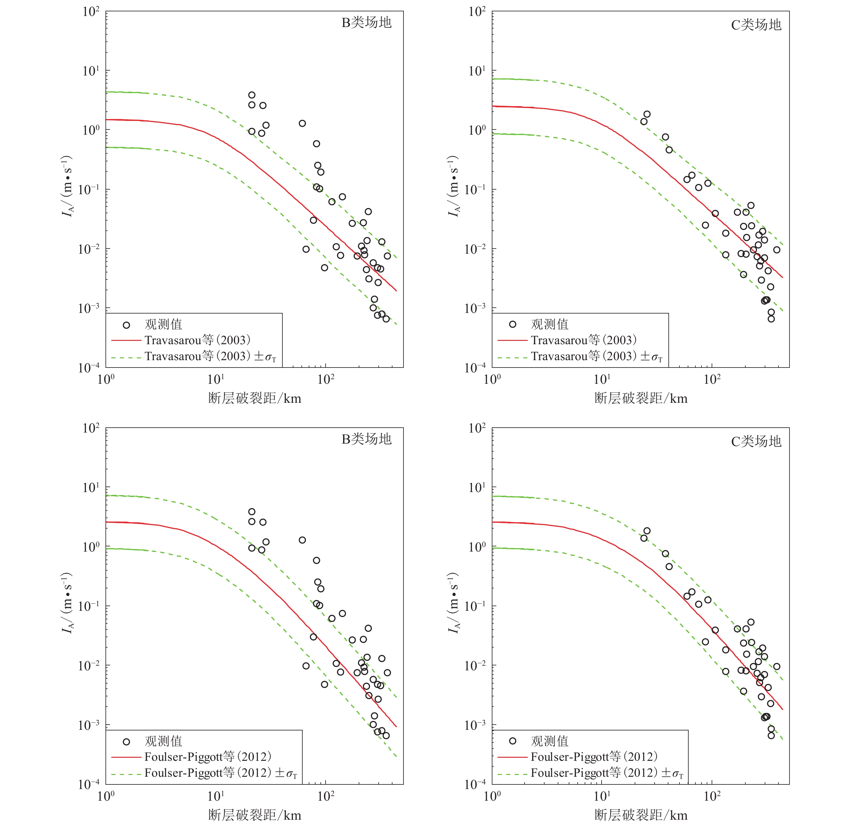
  • 摘要: 本文以芦山地震强地面运动记录为基础资料,研究了阿里亚斯强度和Newmark位移两个地震动参数的空间分布特征、衰减特征以及与其它地震动参数的相关性。研究结果表明:阿里亚斯强度的空间分布与地震断层空间展布和地震破裂方向具有相关性;阿里亚斯强度与峰值加速度(PGA)有较好的相关性,场地条件对二者的相关性具有显著影响,PGA相同时,场地越软,阿里亚斯强度越大;震级也是影响阿里亚斯强度与PGA相关性的重要因素,PGA相同时,震级越大,阿里亚斯强度也越大;Newmark位移与PGA和阿里亚斯强度均具有较好的相关性,与阿里亚斯强度的相关性更强,相关系数可达0.94以上。研究还表明,现有模型不能较好地描述芦山地震的阿里亚斯强度和Newmark位移衰减特征,这说明了芦山地震在持时和破裂过程上的特殊性。芦山地震的特殊性揭示了我国西部地震地质构造环境与其它地区有显著差异,因此应该研究适用于我国西部地区地震的地震动参数预测方程。本文的研究结果对我们从更多方面了解地震动特性以及我国地震灾害的预测预防具有重要的科学意义和应用价值。

     

    Abstract: The characteristics of spatial distribution, attenuation and correlation of ground motion parameters are important research contents in engineering seismology. In this paper, based on the ground motion records of Lushan earthquake, we study the spatial distribution and attenuation characteristics of Arias intensity and Newmark displacement as well as their correlation with other ground motion parameters, respectively. The results show that the spatial distribution of Arias intensity is related with the spatial distribution of seismic faults and the direction of earthquake rupture. Arias intensity has a good correlation with PGA. Furthermore, the site conditions have a significant effect on the correlation between the two: for the same PGA, the softer the site condition, the greater the Arias intensity. In addition, magnitude is also an important factor affecting the correlation between Arias intensity and PGA: with the same PGA, the greater the magnitude, the greater the Arias intensity. Newmark displacement has a good correlation with both PGA and Arias intensity, among which the correlation with Arias intensity is stronger, and the correlation coefficient can reach above 0.94. The research in this paper also shows that the existing models cannot describe the attenuation characteristics of Arias intensity and Newmark displacement of Lushan earthquake well, which indicates the particularity of Lushan earthquake in both the duration and rupture process. The particularity of Lushan earthquake reveals that the seismic geological and tectonic environment in Western China is significantly different from that in other regions. Therefore, the prediction equations of ground motion parameters suitable for earthquakes in Western China should be studied. The research results of this paper have important scientific significance and application value for us on both understanding the characteristics of ground motion and the prediction and prevention of earthquake disaster in China.

     

/

返回文章
返回