地下爆炸各向同性源和补偿线性矢量偶极源共同作用对Rg波低谷点的影响

The conjunct effects of ISO and CLVD sources in underground explosions on the spectral null in Rg waves

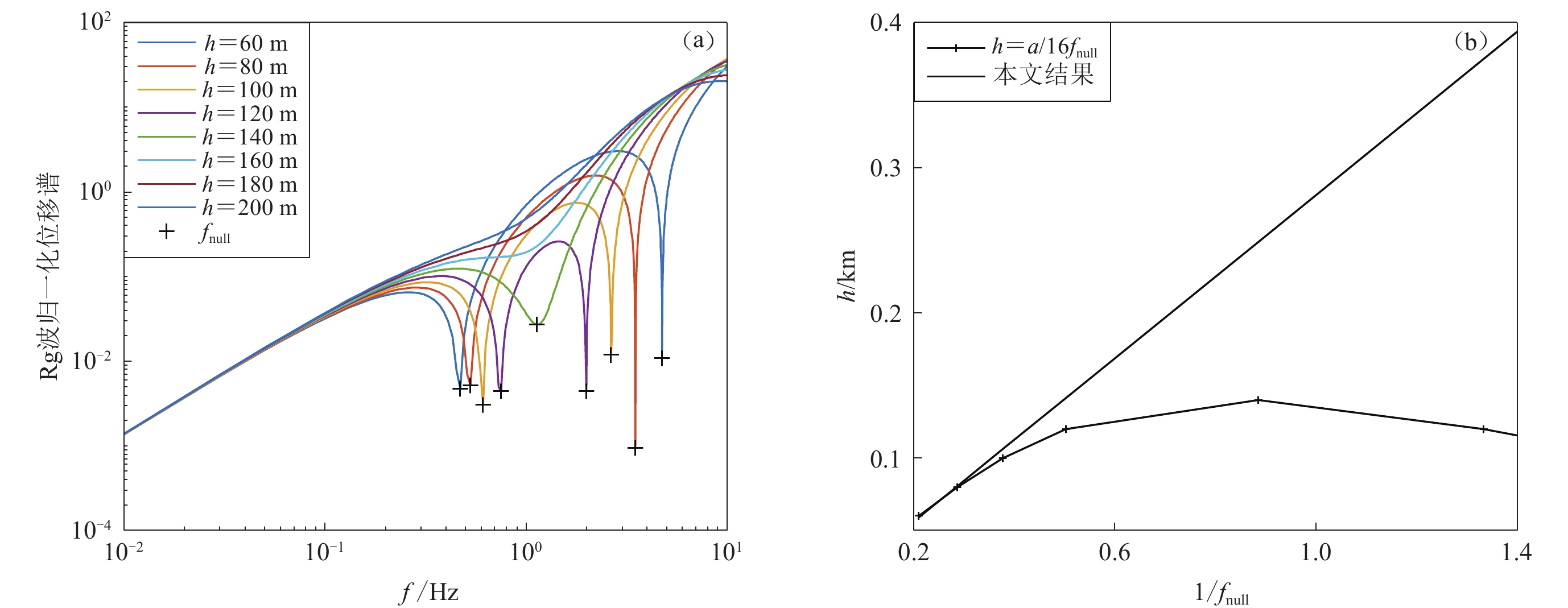
  • 摘要: 本文利用地震面波激发理论计算了两种震源不同相对强度、相对埋深及源时间函数情况下的Rg波频谱,研究地下爆炸中各向同性(ISO)源和补偿线性矢量偶极(CLVD)源共同激发的Rg波信号低谷点特性。结果表明,由于两种震源相对强度、相对埋深及源频谱的影响,混合信号低谷点频率与单一CLVD源激发的信号有很大差异,因此实际地下爆炸中低谷点频率与CLVD源埋深不能单纯地满足理论的反比关系,直接用理论式估算地下爆炸埋深是不足的。

     

    Abstract: The compensated linear vector dipole (CLVD) source is usually induced by underground explosions and could lead to a null in the Rg spectra. There is a theoretical scale between the null frequency and the depth of the CLVD source. Therefore we can estimate the depth of underground explosions with the null frequency. However, this relationship is based on simply considering the CLVD source while the conjunct effects of ISO and CLVD sources are neglected. This study researches the conjunct effects of ISO and CLVD sources in underground explosions on the spectral null in Rg waves by numerical calculation of the Rg spectra with seismology theory of surface waves. The results indicate that the null in mixed signals is quite different from the results of single CLVD source. Thus the null frequency of Rg waves is not simply corresponding to the theoretical value in practical underground explosions and it is improper to estimate the depth of explosions by directly applying the theoretical formula.

     

/

返回文章
返回