新能源发电对电磁观测环境的影响特征以天津徐庄子台的电磁观测为例

Interference characteristics of new energy power generation on electromagnetic observation environment:Taking the electromagnetic observation of Xuzhuangzi station of Tianjin as an example

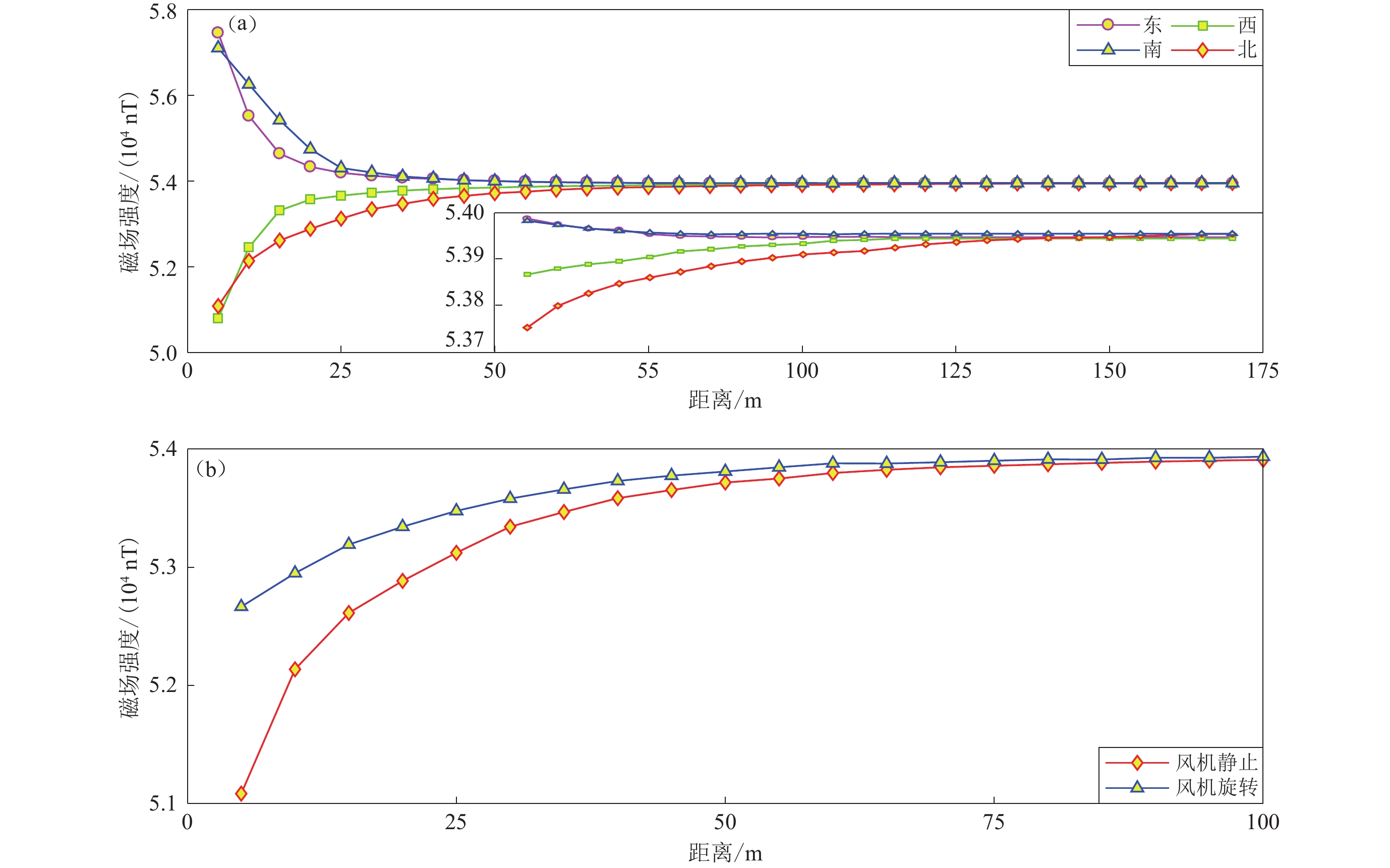
  • 摘要: 利用天津市徐庄子地震台的电磁观测数据,针对台站周边观测区域内近年来出现的风电和光伏发电设施,通过野外试验测量,从多个角度深入剖析了不同观测环境中电磁观测数据在时间和空间上的变化形态,分别总结了风力发电、光伏发电的建设和运行状态对电磁观测环境干扰的影响特征。结果显示:风力发电机组对电磁观测环境的影响明显小于光伏发电设备,可视为一个干扰点,需规范其与观测设施的距离;若要确保光伏发电设备不影响电磁观测,需要将每个系统视为一个整体,并使二者保持足够大的距离。

     

    Abstract: New energy power generation is an important measure taken by the countries to replace non-renewable energy sources so as to achieve sustainable utilization of power resources under the sustainable development strategy. Wind power and photovoltaic power generation are clearly defined as the key development fields of renewable energy. These big power generation facilities will have a great impact on the original seismic observation environment. Based on the electromagnetic observation project of the Xuzhuangzi station of Tianjin, aiming at the wind power and photovoltaic power generation facilities in the observation area around the station in recent years we analyzed the temporal and spatial changes of electromagnetic observation data in different observation environments by the field experimental measurement, and summarized the influence characteristics of the construction and operation of wind power generation and photovoltaic power generation on electromagnetic observation environment interference. The results show that the impact of wind turbine is significantly less than that of photovoltaic power system on the electromagnetic observation environment, which can be regarded as an interference point to regulate the distance between wind turbine and observation facilities. In order to ensure that the photovoltaic power system does not affect the electromagnetic observation, it is necessary to treat each system as a whole and maintain a sufficiently large separation distance between them. This paper can provide a reference for the protection and evaluation of electromagnetic observation environment by building similar new energy power generation equipment in the seismic field, which is of important practical significance for protecting the observation environment of seismic stations.

     

/

返回文章
返回