海啸危险性概率分析的不确定性研究

Uncertainties in probabilistic tsunami hazard assessment

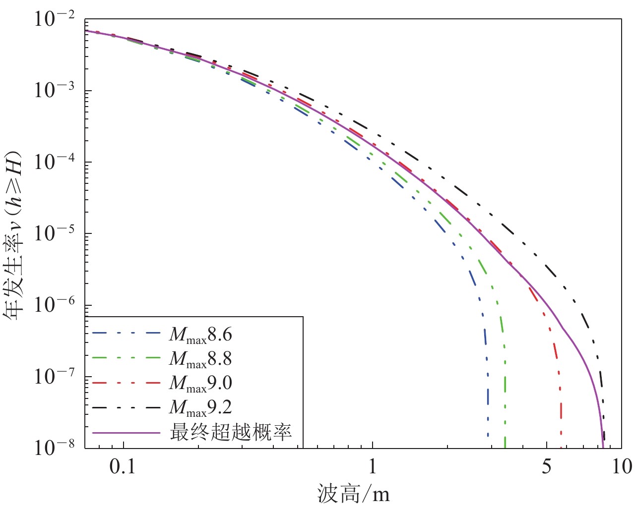
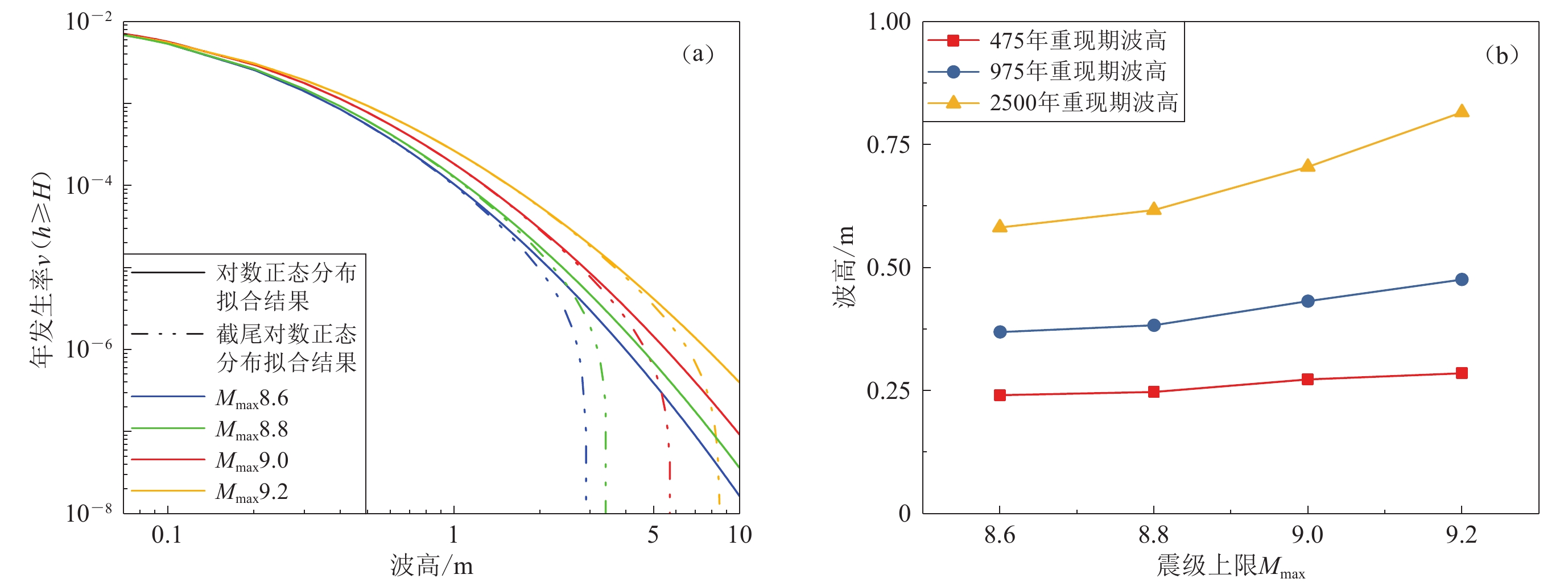
  • 摘要: 针对海啸危险性概率分析(PTHA)存在的较大不确定性问题,对不确定性产生来源进行了归纳和分类,提出了基于逻辑树与事件树方法合理量化不确定性的思路框架,并以马尼拉海啸潜源为研究对象,给出了量化震级上限、破裂面参数不确定的过程示例。数值模拟分析结果表明:海啸潜源震级上限的改变对危险性评估结果产生了显著影响,通过逻辑树方法可合理量化这种不确定性;地震破裂面的倾角、滑移角和破裂面积的随机不确定性对海啸危险性分析结果产生较为显著的影响,经事件树方法处理后的危险性结果保证率远高于20%,略低于80%,可基本满足工程抗海啸设计要求。

     

    Abstract: Regarding the extensive uncertainties result from in the probabilistic tsunami hazard analysis (PTHA), this study summarized the sources of these uncertainties and classified their categories. The methodologies based on logic-tree and event-tree approaches were proposed to quantify uncertainties in PTHA. And then, taking the potential tsunami source (PTS) of Manila trench as an example, both methodologies were performed to illustrate their effectiveness on quantifing the uncertainties derived from the magnitude upper-limit and rupture plane parameters. Some conclusions were drawn as follows: The variability of magnitude upper-limits of PTS affects remarkably the result of PTHA, suggesting a particular consideration that could be quantified effectively using the logic-tree approach. The dip, rake and rupture areas of PTS affect moderately the result of PTHA. The guarantee rate of tsunami hazard given by PTHA will be considerably higher than 20% and slightly lower than 80% when the uncertainties are quantified by an event-tree approach, meeting the requirements of tsunami-resilient structural design.

     

/

返回文章
返回