基于深度学习的地震震级分类

Earthquake magnitude classification based on deep learning

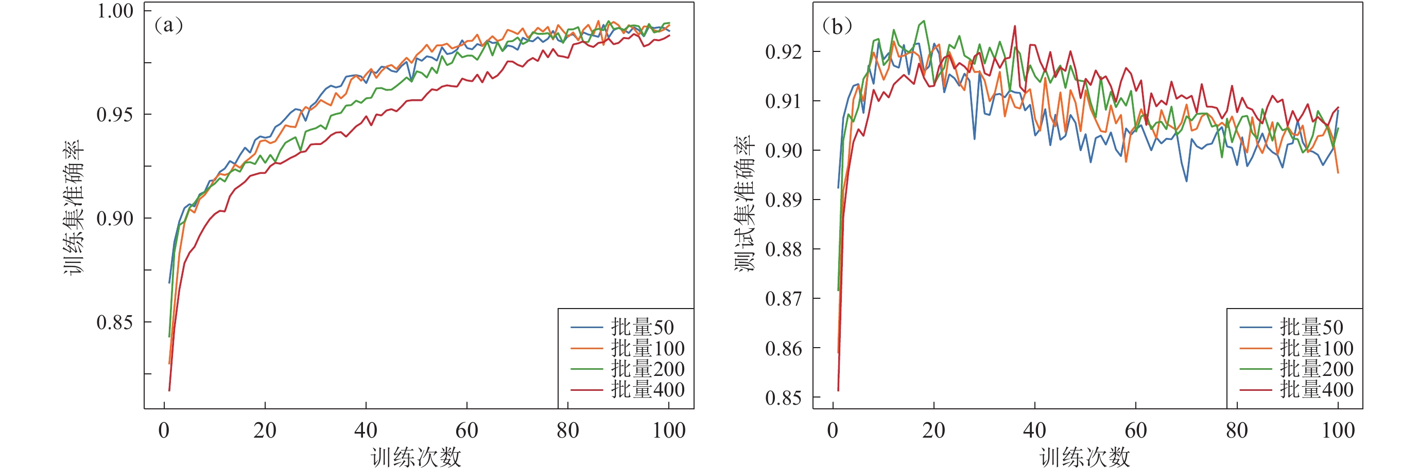
  • 摘要: 为了探索地震加速度时程记录的震级信息,训练卷积神经网络基于地震震级大小对地震记录进行分类,将K-NET和KiK-net中将近12万个地震记录作为样本,对其进行信息筛选和归一化,之后将地震加速度时程记录用作输入,训练卷积神经网络模型以M5.5为分类界限来区分大震和小震。结果显示,在训练集中基于该模型的分类准确率为93.6%,在测试集中的准确率为92.3%,具有良好的分类效果,这表明大震记录与小震记录之间存在一些根本的区别,即可通过地震动加速度时程记录获取一定的震级信息。

     

    Abstract: In order to explore the magnitude information of the seismic acceleration time history recordings, we train a convolutional neural network to classify the seismic recordings based on the magnitude of the earthquakes. Nearly 120 000 earthquake recordings in K-NET and KiK-net are used as samples, and these acceleration time history recordings are used as inputs for model training after information screening and normalization. Taking the magnitude M5.5 as the classification standard, we train a deep learning model of convolutional neural network to classify large and small earthquakes. The results show that the model has an accuracy rate of 93.6% on the training set and 92.3% on the test set, which has a good classification effect. This suggests there are some fundamental differences between large earthquake recordings and small ones. Thus, earthquake magnitude information may be revealed from acceleration time history recordings of earthquakes.

     

/

返回文章
返回