卷积神经网络在远-近地震震相拾取中的应用及模型解释

Detection of tele-local seismic phases by convolutional neural network and model interpretation

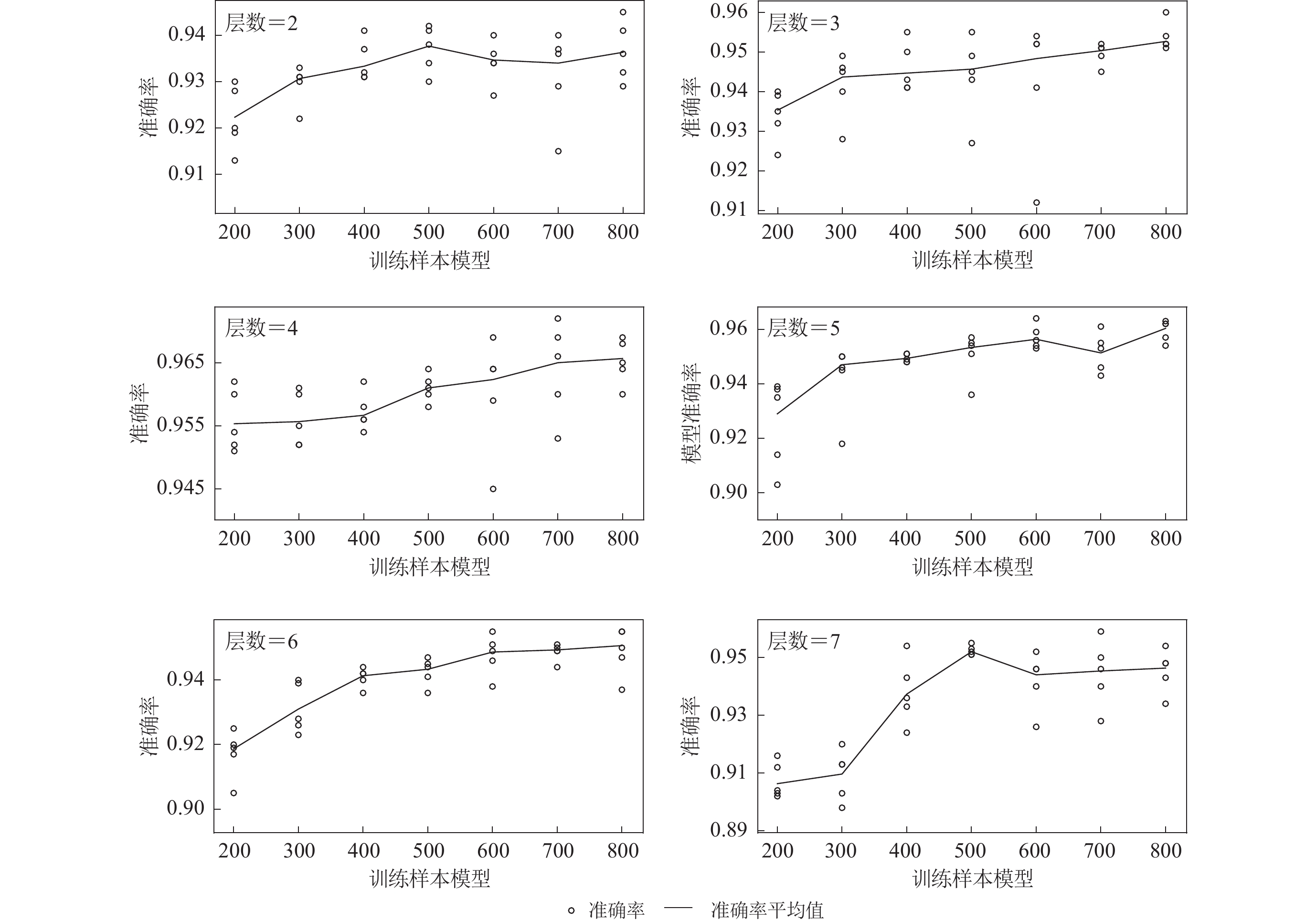
  • 摘要: 利用北京国家观象台的测震记录,探索了样本构建、训练过程、模型结构等因素对远震震相P-S和近震震相Pg-Sg拾取模型性能的影响。结果表明:适中的卷积层深度、正则化和数据清洗能够有效地改善模型性能,而残差块的影响却相对有限。与此同时,基于类模型可视化和平滑GradCAM++的模型解释显示:卷积神经网络复现了震相的关键特征,其决策敏感区域也与震相识别的经验准则一致。最后,连续波形的扫描结果展示了卷积神经网络在远-近地震震相识别的应用前景与提升空间。此外,本文针对模型搭建与训练中存在的问题提出了样本选择、模型架构、标签标注和集成学习等改进方案,以供后续研究参考。

     

    Abstract: A better knowledge about the interrelationship between convolutional neural network (CNN) performance and its sample selection, training procedure, structure, etc., will be beneficial to employ this technique efficiently. We use CNN to detect tele-seismic P-S and local seismic Pg-Sg phases recorded by the Beijing National Earth Observatory. From the results by different parameter associations, it shows that the moderate layer depth, proper regularization, and data wash can significantly enhance the CNN performance while residual blocks giving only marginal improvement. Furthermore, we employ class model visualization and smooth GradCAM++ techniques to interpret the optimal CNN model. The results show that our model has learned the fundamental features of the seismic phases, with decision-sensitive distribution agreeing well with a priori knowledge. Also we use CNN model to scan the continuous seismic waveform, which exhibits its potentiality in seismic phase detection. Lastly, topics on sample selection, model framework, sample labelling, and ensemble learning are discussed for further work.

     

/

返回文章
返回