不同注水方式下断层动力学响应数值模拟研究

The dynamic mechanical response of the fault under different water injection schedules

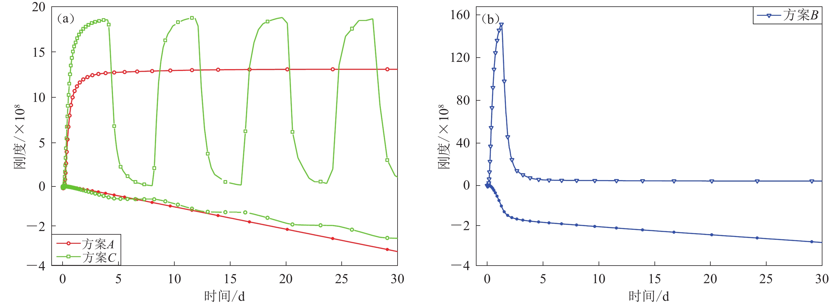
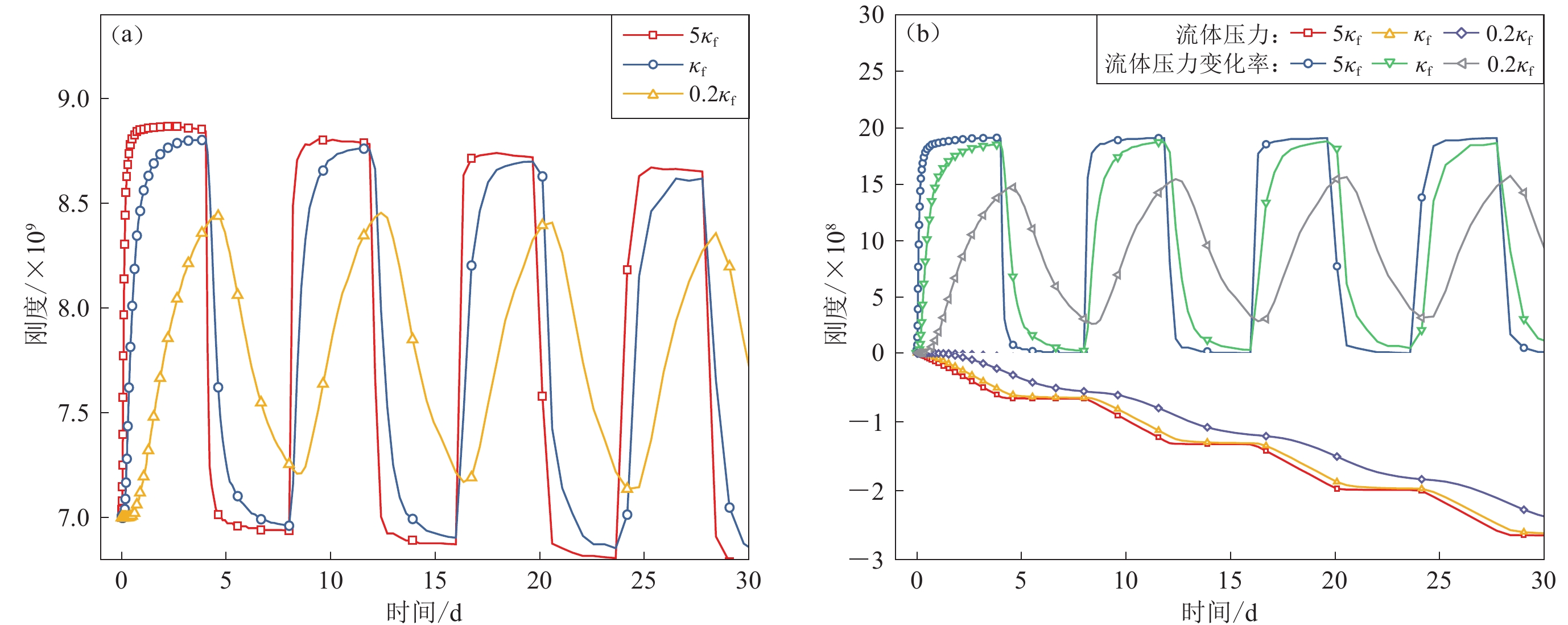
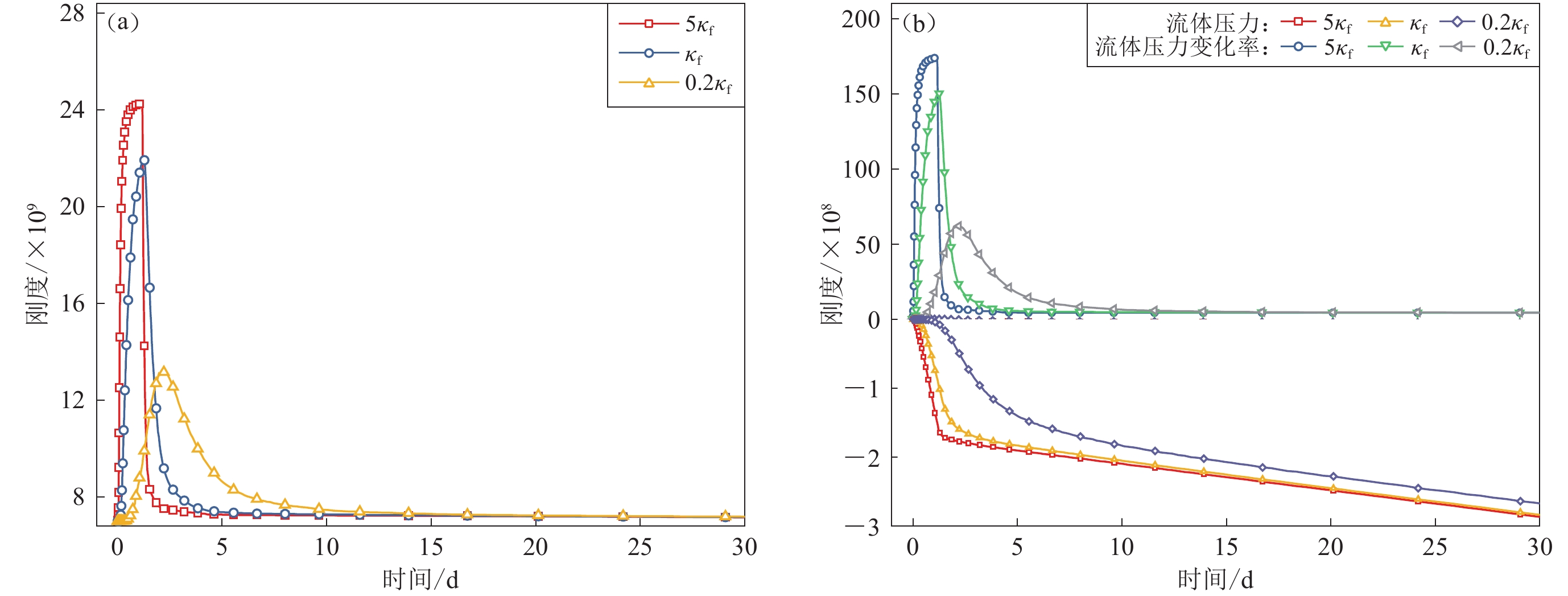
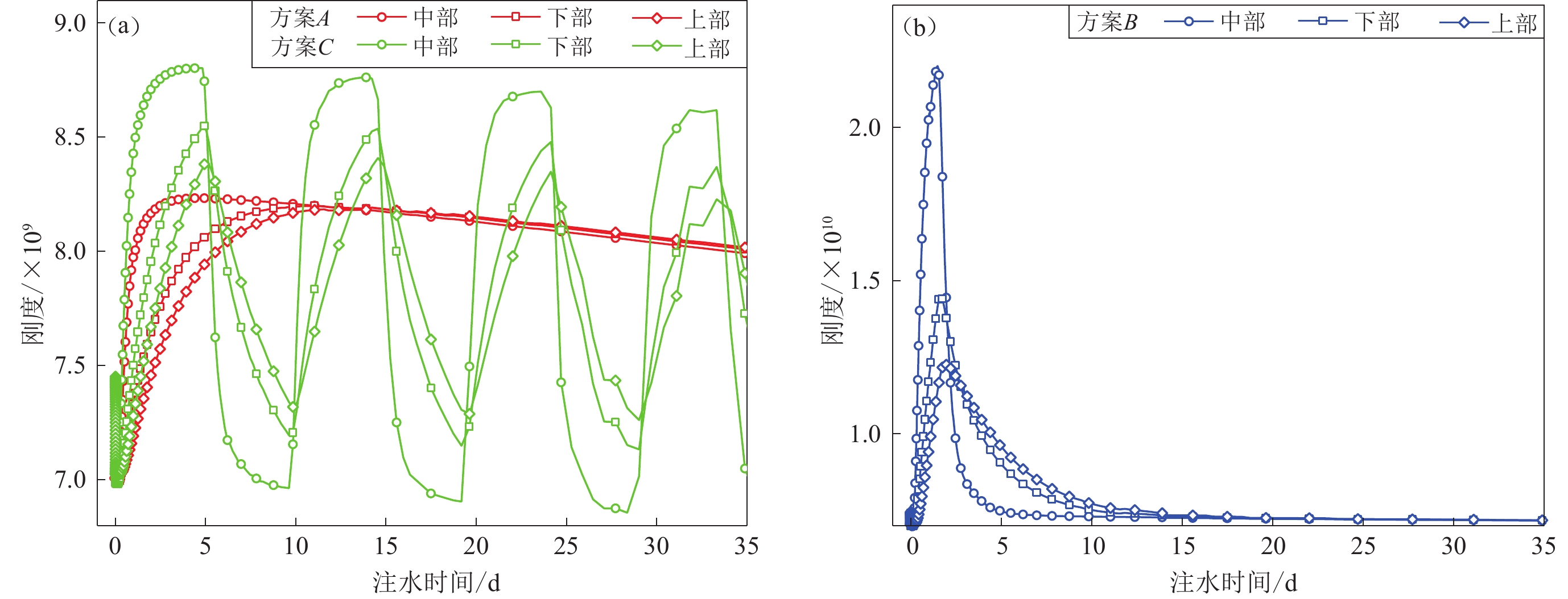
  • 摘要: 工业开采注水能导致现存断层活化,从而诱发大量的破坏型地震。因此,研究注水作用下断层的动力学响应对探索诱发地震的力学机理具有重要的意义。本文基于孔弹性弹簧-滑块模型,采用多孔介质弹性耦合数值模拟,计算分析了三类典型注水方式(上升型、迅速上升/下降型和间歇型)对断层稳定性的影响。研究结果表明:随着流体的不断注入,断层内部流体压力会经过缓慢上升、迅速上升和稳定上升三个阶段。针对于不同的注水方式,这三个阶段并不完全相同,体现形式存在差异;在注水方式相同的条件下,储层的渗透率越小,井口附近流体压力越大,断层处流体压力越小,两者间的流体压力差值越大;注水过程中断层临界刚度的变化与是否发生滑移并引发地震密切相关,数值越大越易诱发地震,其数值与注入储层流体的流体压力呈负相关,与流体压力变化率呈正相关;临界刚度由于流体压力变化率的增加在前期呈现快速增长趋势,后期则是由于流体压力的影响开始减小。迅速上升/下降型注水方式极大增加了注水前期诱发地震的可能性,间歇性注水方式在注水后期引起的临界刚度变化值较大,增大了诱发地震的可能性。该研究可以为注水诱发地震的危险性评价提供定量的科学依据。

     

    Abstract: Water injection used in industry can lead to the activation of existing faults and have induced many destructive earthquakes. Therefore, it is of great significance to study the dynamic response of faults under water injection to explore the mechanism of induced earthquakes. The poroelastic spring-slider model calculates the fault stability under three kinds of classical water injection schedules(ascending, rapidly ascending, descending and intermittent)using poroelastic coupling numerical simulation. The results show that, with the continuous injection of fluid, the pore pressure inside the fault will go through three stages: slow rise, rapid rise, and stable rise. For different water injection schedules, the three stages are not fully reflected, and the forms are different; under the same water injection schedule, the smaller the reservoir permeability is, the greater the pore pressure near the wellhead is, the smaller the pore pressure at fault is, and the greater the difference of pore pressure between the two is; the larger the value is, the easier the earthquake will be induced. The value is negatively correlated with the fluid pressure of injected reservoir fluid but positively correlated with the change rate of fluid pressure; the critical stiffness increases rapidly in the early stage due to the increase of the change rate of pore pressure and decreases in the later stage due to the influence of pore pressure. The rapid rising and falling water injection schedule greatly increase the possibility of inducing earthquake in the early stage of water injection. The intermittent water injection schedule causes a large change of necessary stiffness in the late stage of water injection, which increases the possibility of inducing an earthquake. This study can provide the quantitative scientific basis for the risk assessment of water injection-induced earthquakes and reduce the possibility of water injection-induced earthquakes.

     

/

返回文章
返回