激光干涉绝对重力仪干涉信号处理算法的动态适应性及其船载应用评估

Dynamic adaptability of digital fringe processing for the laser interference absolute gravimeter and its shipboard applications evaluation

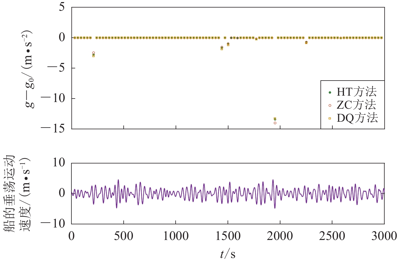
  • 摘要: 激光干涉绝对重力仪干涉信号处理算法的动态适应性研究是进行动态绝对重力测量的基本前提。本文基于希尔伯特变换、直接正交法、过零点法三种瞬时相位处理算法,提出了基于背景振动物理量的合理动态约束条件,即反向的振动速度不能超过落体的下落速度。构建的单频振动信号仿真实验表明:在满足约束条件时,采样频率为60 MHz,希尔伯特变换算法的精度优于10−13 m/s2,过零点算法的精度优于10−9 m/s2,直接正交算法的精度为(−7.9±2.0)×10−8 m/s2。基于海浪模拟平台的实测试验表明:满足约束条件时,这三类瞬时相位处理算法均适用于动态环境,并获得了标准差为4.6×10−5 m/s2的绝对重力测量值。更进一步,基于本文动态适应性结论对系泊和海面船载动态环境进行评估,结果表明:测量船在3级以下海况可以进行10−5 m/s2量级绝对重力的测量;在3—4级海况下,需根据振动信号对测量结果进行筛选以获得10−5 m/s2量级绝对重力测量结果;4级以上海况则不适宜进行动态绝对重力测量。

     

    Abstract: The dynamic adaptability of digital fringe processing is a fundamental prerequisite for dynamic absolute gravity measurements. We have developed a dynamic restriction based on physical parameters of the background vibration according to the instantaneous phase methods, i.e., the reverse vibration velocity cannot exceed the falling velocity of the falling drop. This method involves the Hilbert transform, the direct quadrature, and the zero-crossing method. We have conducted simulation experiments with different vibration intensities and frequencies. The results show that this dynamic restriction is reasonable. The precision of the Hilbert transform method is better than 10−13 m/s2, the precision of the zero-crossing method is better than 10−9 m/s2, and the precision of the direct quadrature method is approximately (−7.9±2.0)×10−8 m/s2 at a 60 MHz sampling rate when the dynamic restriction is satisfied. Furthermore, we conducted absolute gravity measurements on a wave simulator, and obtained results with a standard deviation of 4.6×10−5 m/s2 . This verifies that the instantaneous phase methods apply to the dynamic environment when the restriction is satisfied. Based on the dynamic adaptability conclusion, we further evaluated the mooring system and the sea surface shipboard dynamic environment on the vessel. The evaluation revealed that the measurement vessel can conduct absolute gravity measurements with an accuracy of 10−5 m/s2 under sea conditions of grade 3 or below. Under sea conditions of grade 3−4, the measurement results need to be screened based on vibration signals to obtain absolute gravity measurements at the 10−5 m/s2 level. However, conducting dynamic absolute gravity measurements is not recommended under sea conditions above grade 4.

     

/

返回文章
返回