天津塘沽台直流视电阻率下降异常的成因分析

Cause for abnormal decline of DC apparent resistivity at Tanggu station in Tianjin

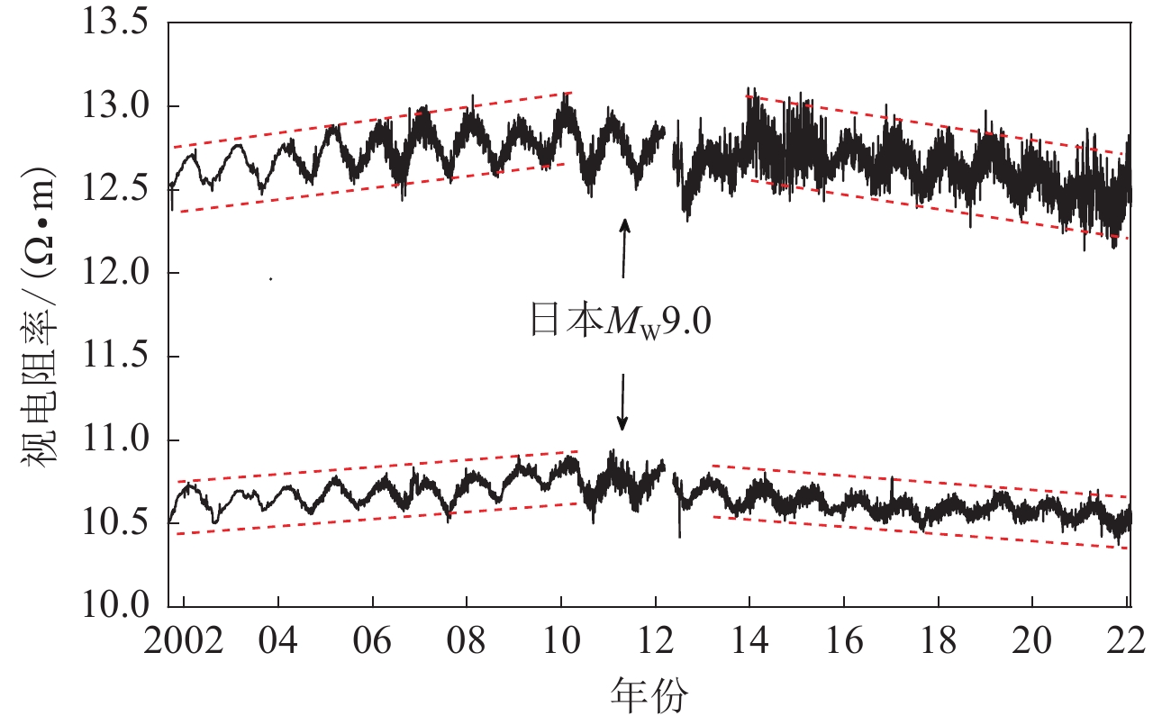
  • 摘要: 依据塘沽台所在区域的水文环境、地质构造和动力学等特征,讨论了地表储水能力、地下静水位及构造变形等因素对视电阻率的影响和塘沽台直流视电阻率下降异常的成因机制。结果表明,长期构造位移变化与地下静水位下降是视电阻率呈下降趋势的主要原因;短期降水量大且雨季长,加之有利的地表储水能力是造成塘沽台视电阻率破年变的主要原因。虽然对于塘沽视电阻率异常中是否掺有前兆信息尚缺少确凿证据,但本文采取的分析方法仍可为典型的异常形态提供有益的参考。

     

    Abstract: The decline of DC apparent resistivity is a common abnormal variation in electromagnetic forecast, the reason is the change of underground electrical structure caused by rock stress change. Therefore, it is very important for timely identification and scientific judgment of earthquake precursory anomalies to effectively analyze their genetic properties. The EW direction of the resistivity of Tanggu station showed a downward trend since 2013, and the low value in 2021 was significantly lower than previous years, which was a breaking anomaly in the downward trend. The low range was 0.104 Ω·m, accounting for about 1% of the background value, and the low value time was delayed compared with previous years. Based on the hydrologic environment, geological structure and dynamic characteristics of the area where Tanggu station is located, we discussed the influence and genetic mechanism of surface water storage capacity, underground static water level and tectonic deformation. The results show that the long-term tectonic displacement change and the decline of groundwater static water level are the main reasons for the decline of the resistivity trend, and the large short-term precipitation and long rainy season, together with the favorable surface water storage capacity, are the main reasons for the formation of the break year change pattern. Although there is no conclusive evidence that is precursory information in the apparent resistivity anomaly of Tanggu station, the analytical method adopted in this paper can still provide useful reference for the typical anomaly pattern.

     

/

返回文章
返回