利用密集台阵资料研究宾川盆地浅层介质尾波Q

Coda wave Q values of shallow media in Binchuan basin using dense array data

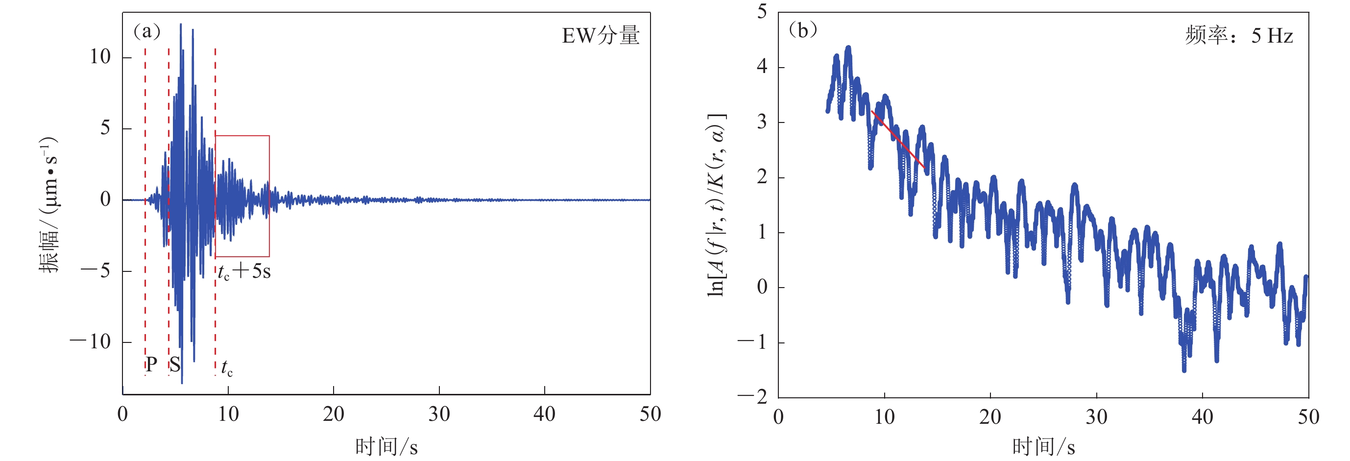
  • 摘要: 为得到更准确的浅部介质衰减参数,便于工程地震领域开展更精细的地震动模拟等研究,以气枪密集台阵资料为基础,联合天然地震资料,利用Sato单散射模型研究了云南宾川盆地浅层介质尾波衰减特征。结果显示,随着频率的增加,尾波QQc整体呈增加趋势,符合Q值的频率依赖关系。在空间上,该地区Qc值分布具有明显的横向不均匀性,位于研究区中部宾川盆地的台站Qc值较低,而位于研究区南西和北东方向的山地丘陵地区的台站Qc值较高,与速度层析成像研究结果一致。研究区平均Qc频率依赖关系为 Q_\mathrmc ( f ) =28.04f^1.07,气枪震源密集台阵资料得到的Q0值较天然地震得到的值更低,证明使用密集台阵资料得到的结果反映了更浅部介质的衰减特征,而更高的频率依赖指数\, \eta \,值意味着浅层介质的非均匀性高于深部介质,符合实际情况。宾川盆地Q0值大于松辽盆地、华北盆地和中国大陆平均沉积层,而指数\, \eta \,小于松辽盆地和中国大陆,表明本研究所用资料反映的Q值信息介于近地表与深部介质之间。随着尾波流逝时间窗口的增大,Q0逐渐增大,而频率依赖性降低。因此,在研究区尺度较小且选择的天然地震事件震级不高的情况下,需要选取较小的流逝时间窗口以确保满足研究需要。此外,局部地形和地震地质构造变化可能导致衰减参数和相应的标准差相差较大。使用气枪震源和近震资料配合小尺度密集台阵,可以得到较准确的浅层介质衰减参数,为工程应用和浅部结构探测提供了新的思路。

     

    Abstract: In order to obtain more accurate attenuation parameters of shallow medium and carry out more detailed ground motion simulation research in the field of engineering earthquakes, this paper uses the Sato single scattering model to study the coda attenuation characteristics of shallow medium in the Binchuan basin based on the dense array data and combined with natural seismic data. The results showed that with the increase of frequency, the coda Q value Qc showed an increasing trend, which was in line with the frequency dependence of the Q value. The spatial distribution of Qc values in this area has obvious lateral inhomogeneity. The stations located in the Binchuan basin in the central part of the study area have lower Qc values, while the stations located in the hilly areas of the study area in the southwest and northeast directions have higher Qc values, which is consistent with the velocity tomography results. The frequency dependence of the average Qc in the study area is Q_\rmc ( f ) =28.04f^1.07 . The Q0 value obtained by the dense array data is lower than that obtained by the natural earthquake, which proves that the results obtained by the dense array data reflects the attenuation characteristics of the shallower medium. And a higher \eta value means that the inhomogeneity of the shallow medium is higher than that of the deep medium, which is in line with the actual situation. The Q0 value of the Binchuan basin is larger than the Q0 value of the Songliang basin, the North China basin and the average sedimentary layer of the Chinese mainland, while the index \eta is smaller than the \eta value of the Songliao basin and the Chinese mainland, indicating that the information reflected by the dense array is between the near-surface and deep media. As the depth increases, the inhomogeneity of the medium gradually decreases, and the dependence of the Q value with frequency gradually weakens. Q0 increases with the lapse time window of coda, and the index \eta is the opposite. It is necessary to select a small lapse time window to ensure the accuracy of the results when the scale of study area is small and the magnitude of the selected natural earthquake events not large. In addition, local topographic and seismic-tectonic changes may lead to large differences in attenuation parameters and standard deviations. The useage of airgun source and near-field earthquake with small-scale dense seismic arrays can obtain more accurate attenuation parameters in shallow media, which provides a new idea for engineering application and shallow structure detection.

     

/

返回文章
返回