基于希尔伯特-黄变换的近断层地震动脉冲特性研究

Characteristics of pulses in near-fault ground motion based on Hilbert-Huang transform

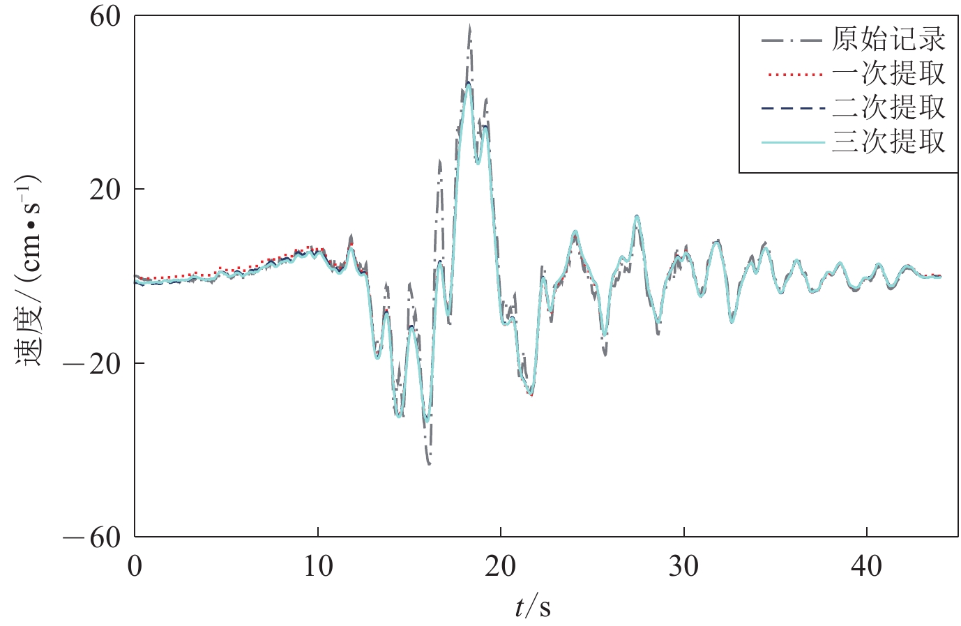
  • 摘要: 近断层地震动中存在的低频、大幅值速度脉冲使得临近断层结构具有更高的强度和延性需求。对近断层地震动脉冲特性的深入研究有利于加深对临近断层结构反应的认识,从而为临近断层结构抗震设计提供理论依据。受强震记录处理及速度脉冲识别和提取方法的限制,目前已有的研究工作主要集中于近断层地震动记录的单脉冲特性,多脉冲特性涉及较少。本文基于希尔伯特-黄变换及其相关理论,针对近断层地震动,提出了涵盖原始强震记录基线校正,至多速度脉冲定量判别及提取的整套脉冲特性研究方法,该方法对多脉冲记录尤为有效;基于提取出的理想化速度脉冲构建了(多)脉冲参数与地震参数的统计关系;以脉冲持时新定义了近断层地震动的有效强震持时,并通过多层结构非线性时程分析进行了验证。新方法中,基线校正过程可以获得稳定的地面峰值位移(PGD)和具有物理意义的基线偏移时程;提出的速度脉冲识别及波形提取方法可以将每个脉冲准确定位于时域,同时自动化获得脉冲相关参数;基于理想脉冲定义的近断层地震动有效强震持时可以良好地 表征多脉冲记录的强度。

     

    Abstract: Large-amplitude and long-period pulses are observed in velocity time histories of near-fault ground-motion records. The pulses in these records can pose severe ductility or strength demands to the near-fault structures and can subject them to higher collapse risks. Further research on the characteristics of pulses in near-fault ground motion is beneficial to deepen the understanding of the response of structures close to faults, and provide theoretical basis for the aseismic design. At present, methods related to strong motion processing and identification of near-fault pulses mainly focus on the single pulse in a record, so the multi-pulse characteristics of near-fault ground motions are less involved. Hence, a set of methods based on Hilbert-Huang transform (HHT) are proposed here to investigate the multi-pulse characteristics. Firstly, the raw near-fault record is corrected by the proposed HSA method, and then the ideal pulse signal can be extracted by the HHT method from the corrected record. According to the extracted pulse signal, the statistical relationships between pulse parameters and earthquake parameters are investigated. Finally, an effective strong motion duration is defined based on the pulse duration, which is verified by the nonlinear time history analysis of multi-storey buildings. The developed methods are particularly suitable for multi-pulse records. Stable peak ground displacement (PGD) and physically baseline offset time history can be obtained by the HSA method. Each velocity pulse in a record can be located in the time domain exactly and automatically by the HHT method. The proposed definition of strong motion duration for near-fault records can well characterize the intensity of multi-pulse records.

     

/

返回文章
返回