维西—乔后断裂带及其周边地区震群和前震序列活动特征

Characteristics of earthquake swarms and foreshock sequences in Weixi-Qiaohou fault zone and its surrounding areas

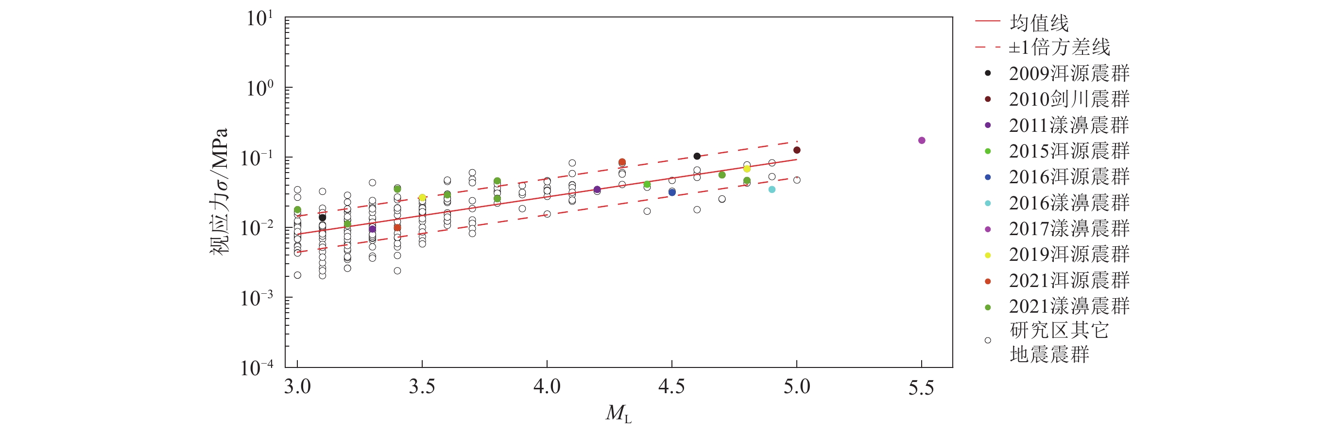
  • 摘要: 使用云南地震台网2009—2021年的地震目录和波形数据,采用双差定位方法、基于P波初动极性和S/P振幅比的HASH方法和最大似然法等,获取了维西—乔后断裂带及附近地区ML≥4.0震群和前震序列精确的震源位置、震源机制解、视应力和b值等地震活动参数,对比分析了维西—乔后断裂带及其周边震群及前震序列的活动特征。结果显示:除前震序列频次呈现出反大森定律外,前震序列与普通震群在空间分布、震源机制一致性、视应力和b值等单一参数方面并无明显的差异;但前震序列同时具备震中优势分布方向与区域主要构造展布方向一致、震源机制一致性较好、低b值等特征,建议综合使用时空演化特征、震群参数识别前震序列。

     

    Abstract:
    The 2021 MS6.4 Yangbi earthquake in the Weixi-Qiaohou fault zone is preceded by a prominent foreshock activity, and earthquake swarms are frequently recorded in this area. Thus, it provides a valuable opportunity to study the differences between foreshock sequences and ordinary earthquake swarms and to develop recognition features of foreshocks.
    Referring to the specific definition of earthquake swarms in previous studies and the actual seismicity characteristics of the Weixi-Qiaohou fault zone and its surrounding areas, eight earthquake swarms and two foreshock sequences involving ML≥4.0 earthquakes are selected based on the following criteria: ① The epicenters of the earthquake swarm are distributed in a rectangular area of not more than 2500 km2, and there is a clear boundary separated from the distribution of background earthquakes; ② The maximum daily frequency is not less than 3, and the total frequency is not less than 10; ③ The magnitude difference between the largest and second largest earthquakes \Delta ML≤1.6; ④ If ML≥1.0 earthquakes are not recorded for 15 consecutive days before and after the start and end of the earthquake sequence, the date of the first earthquake is the starting date of the earthquake sequence, and the date of the last earthquake is the ending date of the sequence. ⑤ For the foreshock sequence, the date of the first earthquake is the starting date of the sequence, and the date of the last earthquake before the main shock is the ending date of the sequence. First, we use the double-difference relocation algorithm to obtain precise relative locations of ten earthquake sequences. Secondly, we collect focal mechanism solutions of ML≥2.5 earthquakes in these sequences from previous studies and calculate focal mechanism solutions of those missing important earthquakes by HASH. This study use the minimum 3-D rotation angle to present the focal mechanism consistency of the ten earthquake sequences. Thirdly, we calculate the apparent stress of ML≥3.0 earthquakes of these sequences using waveform data provided by Yunnan Seismological Network. Finally, we apply the maximum likelihood method to calculate the b values of four earthquake sequences, while the other six sequences did not have enough earthquakes to obtain the b value.
    Earthquake swarms and foreshock sequences are analyzed in detail based on spatiotemporal evolution characteristics, focal mechanism and apparent stress of larger earthquakes, and sequence b value. After analysis, we acquire the following characteristics of the earthquake swarms and the foreshock sequences located in the Weixi-Qiaohou fault zone and its surrounding areas: ① Before the occurrence of the mainshock, the frequency of the foreshock sequence shows a quiet-enhanced evolution characteristic, which is consistent with the anti-Omori law. However, ordinary earthquake swarms show different evolutionary characteristics, that is, rapid attenuation after the occurrence of the largest earthquake of the swarms. ② The epicenters of foreshock sequences show an obvious dominant distribution direction, which is consistent with the strike of the main active fault in the region, and the spatial distribution is relatively concentrated. The spatial distribution characteristics of earthquake swarms are inconsistent. There are both earthquake swarms with obvious dominant distribution direction and circular distribution. ③ The focal mechanism consistency of ten earthquake sequences is complicated. The focal mechanism solutions of the 2017 Yangbi earthquake swarm and the 2021 Yangbi foreshock sequence have good consistency, respectively. However, no stronger earthquake has occurred after the 2017 Yangbi earthquake swarm in the focal area of the swarm. ④ The apparent stress of earthquake swarms and foreshock sequences located in the Weixi-Qiaohou fault zone and its surrounding areas is the same as that in the northwest of Yunnan, and the apparent stress of the foreshock did not show a prominent characteristic. ⑤ The b values of earthquake swarms and foreshock sequences show that the Weixi-Qiaohou fault zone and its surrounding areas have a relatively lower b value. There is no significant difference in the b value between foreshock sequences and ordinary earthquake swarms.
    In summary, there is no noticeable difference in spatial distribution, focal mechanism consistency, apparent stress, and b value between the foreshock sequences and the common earthquake swarms except for the anti-Omori law of frequency of the foreshock sequences. However, the foreshock sequences have the following three characteristics in spatial distribution and seismic parameters simultaneously: ① The dominant distribution direction of epicenters is consistent with the strike of the main active fault in the region; ② The focal mechanism solutions of the sequence have good consistency; ③ The sequence has a lower b value. It is suggested that spatio-temporal evolution characteristics and seismicity parameters should be used together to identify foreshock sequences in the future.

     

/

返回文章
返回