云南地区氡异常与地震的统计特征分析

Statistical characteristics analysis on the relationship between radon anomalies and earthquakes in Yunnan region

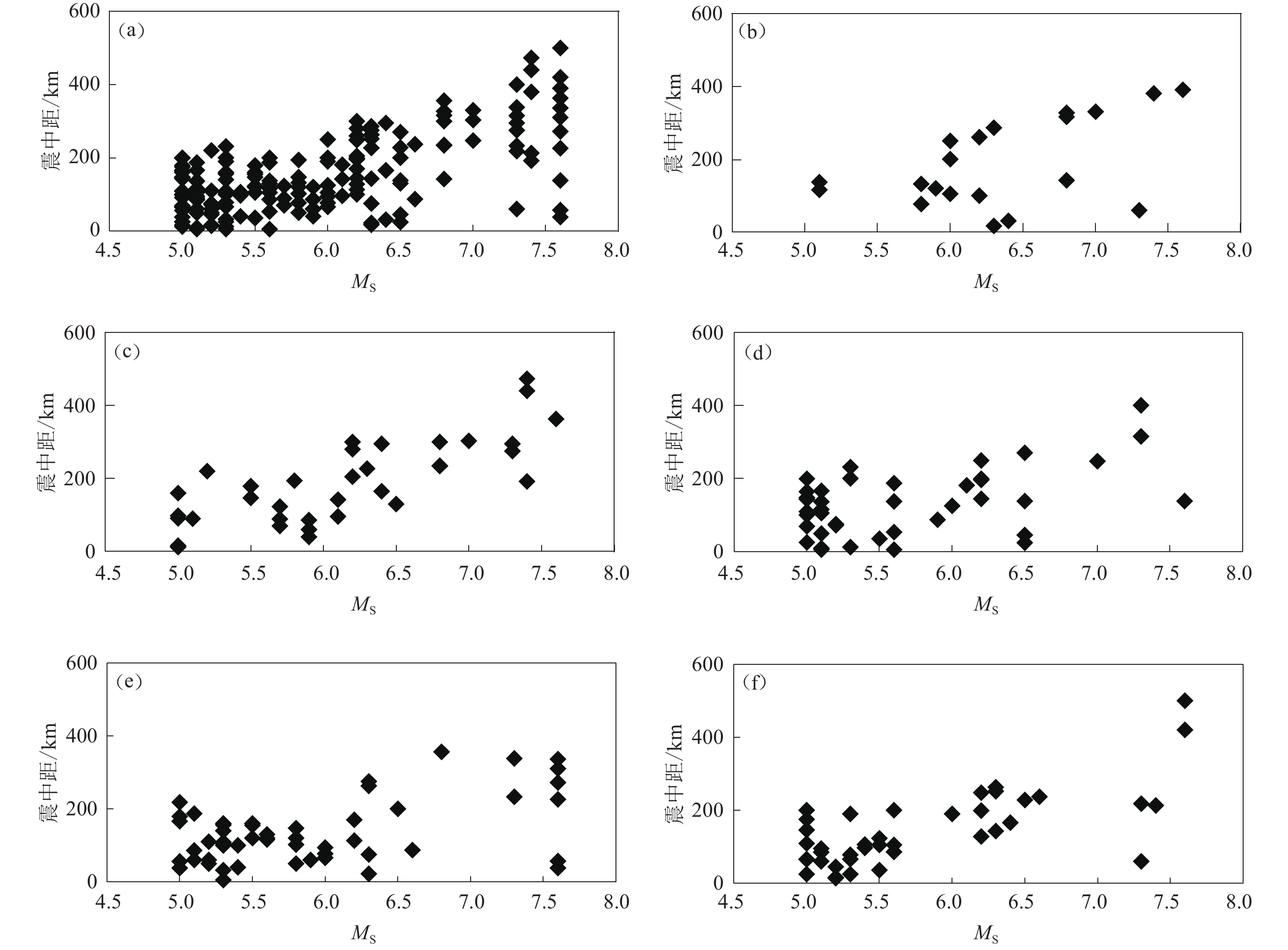
  • 摘要: 通过梳理1976—2022年震例总结报告中云南地区73组MS≥5.0地震的氡测项异常,对其特征予以统计分析。结果表明:73组地震中有63组震前出现水氡异常,震前6个月内的短期异常占总异常的71%,3个月内的短临异常占总异常的49%,地震前3个月异常数量增加显著;震级越大,异常分布越远离震中,震前1个月新出现的异常大部分集中在震中附近。相对而言,由于测点位置和观测技术方面的原因,气氡积累的震例远远少于水氡,但具有短期异常占比较高的优势。随着气氡观测技术的不断改进和观测经验的不断积累,其捕捉地震异常信息的能力也将会不断提升。

     

    Abstract:
    This paper is based on the summary report of Yunnan earthquake cases from 1976 to 2022.It sorts out 73 sets of earthquakes with M≥5.0 one by one, and extracts abnormal information of radon measurement items before earthquakes, then explores the characteristics of radon precursory anomalies.The results are as follows:
    1) There were 190 water radon anomalies among 63 out of 73 earthquakes. There were a large number of anomalies and a low earthquake missing rate, indicating that water radon observation have good monitoring capability for regional earthquakes. However, the proportion of gas radon anomalies is relatively low by comparison. In our earthquake cases, there were five gas radon anomalies among only four out of 39 earthquakes, showing a higher earthquake missing rate. But as for the measurement sites with good basic conditions, gas radon anomalies have a high repetition rate, and correspond well to earthquakes. Among the five radon anomalies accumulated in historical earthquake cases, three of them were observed by gas radon well Gaoda.
    2) The water radon anomalies appeared mainly within six months before earthquakes with M≥5.0, accounting for 71% of the total anomalies. Among them, anomalies within three months account for 49% of the total anomalies. Starting from the year before the M5.0−5.9 earthquakes, the number of water radon anomalies in different stages increased significantly. One month before the earthquake, most of the anomalies showed a turning point and then returned to normal level, with a decrease in the number of anomalies. On the other hand, there are not many earthquake cases with abnormal gas radon concentration, but all anomalies are within six months before earthquakes, of which 80% are within three months.
    3) The spatial distribution of water radon anomalies is different before earthquakes with different magnitudes. Before the earthquakes with magnitude 5.0−5.9, the closer to the time of the earthquake occurrence, the more anomalies are concentrated near the epicenter. During the period of more than six months prior to the earthquake, the anomalies are scattered in space. Starting from six months before the quake, the number of anomalies within a 100 km radius of the epicenter gradually increased. Starting from one month before the earthquake, most of the anomalies outside the 100 km radius of the epicenter showed a turning point and then returned to normal level, the anomalies are concentrated near the epicenter, which can provide reference for location tracking. Before earthquakes with magnitude 6.0 or above, more water radon anomalies appeared in the areas far from the epicenter, which were relatively scattered. Such anomalies appearing in a large area may indicate that the stress levels in the entire field were increasing. In this state, potential risk of a major earthquake is likely higher. There are relatively few earthquake cases with gas radon anomalies, and the spatial distribution characteristics are not obvious.
    This paper is based on the summary report of earthquake cases, which shows that there are more anomalies in water radon than in gas radon, and the prediction effect is better than that of gas radon. This is consistent with the practical results reflected by the technical personnel after actual use of the data. Several possible main reasons are: Firstly, the observation sites of water radon are more focused on deep circulating hot spring water, which is more likely to reflect deep tectonic activity. Secondly, the observation methods of water radon and gas radon are different. Water radon is observed by manually collecting water samples and detecting, and the technology is relatively stable. However, gas radon is observed automatically, but the stability of the devices for extracting radon gas from water and collecting it has not been fully solved, and the technology from gas collection to automatic detection process is not mature yet. In addition, the efficiency and stability of degassing directly affect the observation quality of data. Thirdly, at some observation sites the escaping gas was extracted from static water level wells to observe the radon concentration, which is difficult to reflect information from deep Earth.
    Overall, the differences in the effectiveness of water radon and gas radon data in earthquake prediction are caused by factors such as the location of measurement sites and observation techniques. At present, the observation data of gas radon in Yunnan has not yet achieved the effect of water radon in earthquake prediction. However, gas radon observation has advantages that water radon does not have, such as higher automation, faster transmission, higher data sampling rates. Technology-oriented and intelligentization are the main development tendency of radon observation. With the improvement of observation technology and the accumulation of observation experience, the ability to capture seismic anomaly will also be strengthen.

     

/

返回文章
返回