不同场地类别对反应谱特征周期的影响

Effect of different site categories on the characteristic period of the response spectrum

  • 摘要: 为探究不同场地类别对反应谱特征周期的影响,建立了包含四种场地类别的180个计算剖面,在现行 《建筑抗震设计规范》 GB 50011—2010中场地分类的基础上按照土的软硬程度进一步细分,以不同幅值的El Centro地震动作为输入地震动,采用一维等效线性化方法进行土层反应分析,计算得到场地地震动反应谱,规准化得到反应谱特征周期。结果表明:① 在同一类别场地中,随着等效剪切波速的增大,特征周期呈减小的趋势;② 在同一类别场地中,随着输入地震动强度的增大,特征周期也相应增大;③ 在不同类别场地中,输入相同的地震动,场地类别从Ⅰ类到Ⅳ类,反应谱特征周期逐渐增大。最后,根据细分后的场地类型给出了其反应谱特征周期建议值,并进行了验证。

     

    Abstract:
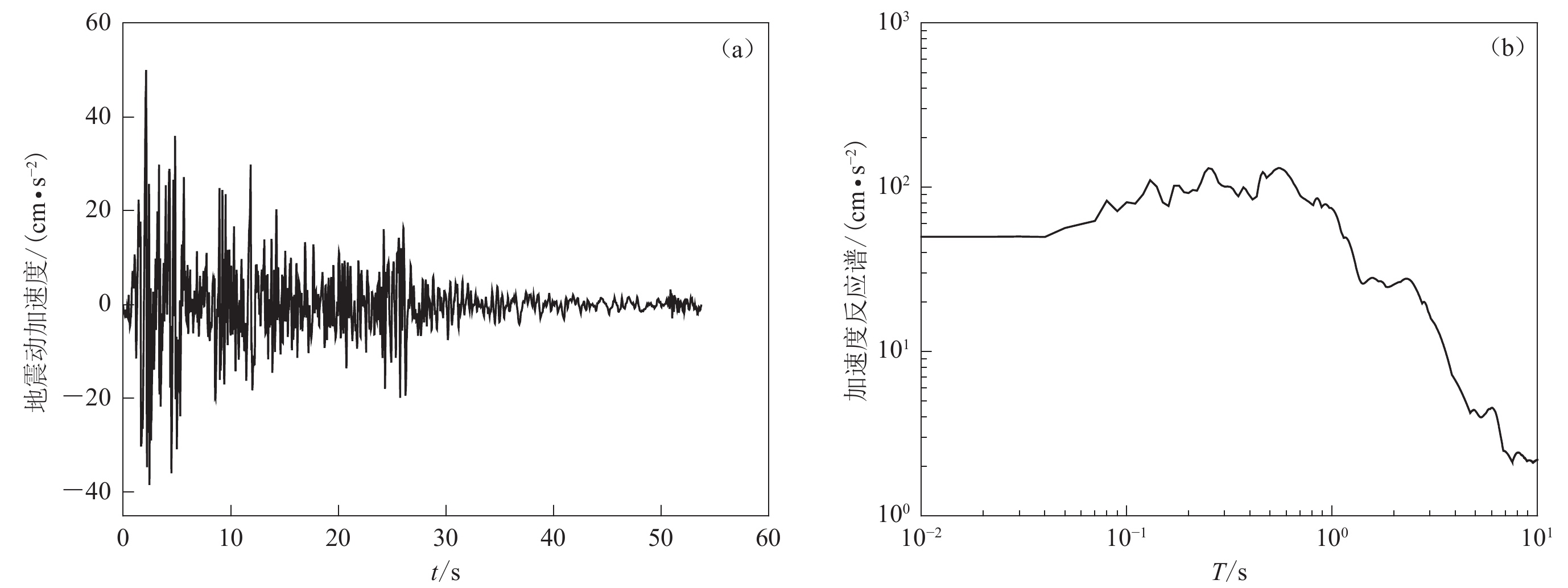
    Site classification is one of the significant factors affecting the determination of ground motion parameters. Presently, in China, the criteria for classifying sites are established based on the thickness of overburden and the equivalent shear wave velocity in the Code for Seismic Design of Buildings (GB 50011−2010). However, previous studies show that the variability of these two indicators has a significant impact on ground motion. Consequently, numerous scholars have embarked on research regarding the influence of site conditions on seismic parameters. Nevertheless, most of the current researches have been conducted based on the site categories classified in the current code. Given the broad range of site classes in China, there is a lack of more refined research results. Therefore, 180 calculation profiles containing four catagories of sites are established in this paper, and they are further subdivided according to the existing standards in China. The characteristics of class Ⅰ site primarily include thin overburdens and a wide distribution range of equivalent shear wave velocities. Consequently, class Ⅰ site is divided into categories A1, A2, A3 and A4, with A1 representing soft soil and A2 representing medium-soft soil. Additionally, the hard soil in class Ⅰ site is further divided into A3 and A4 based on equivalent shear wave velocity. Class Ⅱ sites are widely distributed in China, and in this study, it also accounts for a significant proportion. To conduct a more detailed study, class Ⅱ site is subdivided into categories B1, B2, B3 and B4, with B1 representing soft soil, B2 representing medium-soft soil, and B3 and B4 representing medium-hard soil. Class Ⅲ site is mainly characterized by thick overburden and relatively soft soil quality, thus classified into C1 representing soft soil and C2 representing medium-soft soil. Class Ⅳ site mainly consists of deep and soft overburdens, designated as class D. To investigate the relationship between the subdivided site categories and characteristic periods, El Centro ground motions with different amplitudes are chosen as input ground motion. One-dimensional equivalent linearization method is employed to analyze the seismic response of overburden, and the computational results are standardized using differential evolution to obtain characteristic periods for different sites.
    When studying the characteristic period Tg of the response spectrum, the characteristic period of the response spectrum was fitted to a trend line with the scatter plot of the overburden thickness in order to further analyze the effect of the overburden thickness on Tg. According to the Tg scatter plot: In class Ⅰ sites, under the action of ground motions with peak ground accelerations of 50, 100, 200, and 300 cm/s2, the characteristic period of response spectrum does not vary with site category, and the reference value of the characteristic period of response spectrum can be taken as 0.65 s. For class Ⅱ sites, when the ground motions of four different intensities are input, Tg increases gradually with the overburden thickness for B1 and B2 sites. Moreover, the larger the input ground motion at the same overburden thickness, the larger the characteristic period. For B3 and B4 sites, when the ground motions of four different intensities is input, Tg shows a trend of first decreasing and then increasing with the overburden thickness, and the increasing trend becoming more pronounced with greater seismic motion intensities increase. Additionally, in class Ⅱ site, when the input ground motion intensity is 50 cm/s2, the influence of the subdivided site category on the characteristic period of the response spectrum is negligible, with the reference value of the characteristic period of the response spectrum being 0.7 s. However, when the input ground motion intensity is 100—300 cm/s2, the characteristic period of B1 site is significantly larger than that of B4 site, and the difference between them increases with the increase of input ground motion amplitude. For class Ⅲ site, in C1 site, under the same intensity of seismic motion, the characteristic period of response spectrum generally increases with the overburden thickness. In C2 site, as the intensity of seismic motion increases, the characteristic period of response spectrum gradually increases with the overburden thickness, and when subjected to strong ground motion, the corresponding increase in the characteristic period of response spectrum is more pronounced. In class Ⅳ soft soil site, the characteristic period of response spectrum generally increases with the overburden thickness.
    After conducting statistical analysis of the computed results, this study provides recommended characteristic period values for subdivided site categories. Before conducting the statistics, this study first eliminates possible outliers in the data, ensuring the values within one standard deviation, and then calculates the average characteristic period of response spectrum for each site category. Finally, different characteristic period values for different site catagories are obtained. Three calculation models for class C2 site in Xichang and four calculation models for class C2 site in Yanjiao of Langfang area are selected to verify the recommended values. The verification results indicate that the recommended characteristic period values for class C2 site are more suitable for situations involving small to moderate seismic intensities. For large earthquake scenarios, the average characteristic period values are generally applicable, but there is a slightly larger range of characteristic period variations, necessitating further in-depth research.
    In summary, the following conclusions can be drawn from the above results: ① Within the same category of site, an increase in equivalent shear wave velocity correlates with a decreasing trend in characteristic period. ② In the sites of the same category, an increase in the intensity of input seismic motion corresponds to an increase in characteristic period. ③ In different classes of sites with the same input of ground motion, the characteristic period of the response spectrum increases gradually from class Ⅰ to class Ⅳ. The research findings can offer crucial reference for adjusting site seismic motion parameters and contribute to a more accurate assessment of site seismic safety, thereby providing a scientific basis for engineering design and disaster prevention and mitigation.

     

/

返回文章
返回