近断层地震动加速度峰值比和脉冲特征的统计分析

Statistical analysis of near-fault ground motion acceleration peak ratio and pulse characteristics

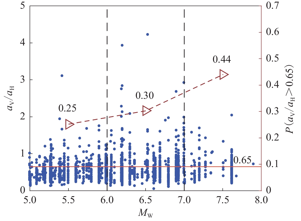
  • 摘要: 为进一步了解近断层地震动的显著竖向特性和速度脉冲特性,基于NGA-West2强地面运动数据库选取1 706组强地震动记录,研究了竖向与水平向加速度峰值比aV/aH的总体分布特征,并探讨了aV/aH随矩震级MW、断层距Rjb、场地类别和断层类型变化的规律。在此基础上,通过Baker脉冲识别方法选取出140组近断层速度脉冲地震动,并提取出每条地震动记录的脉冲周期Tp和速度脉冲峰值PGVp,研究其脉冲参数随矩震级MW和断层距Rjb变化的统计规律及经验模型。结果表明:近断层加速度峰值比aV/aH与地震动参数密切相关,其概率分布呈极值Ⅱ型分布;脉冲周期Tp随矩震级的增大而增大,与场地条件的相关性较弱,脉冲周期Tp经验模型与Shahi和Baker 模型在大震级范围内的差异小,且差异随矩震级的增大而减小,说明可忽略是否区分脉冲类型对脉冲周期随矩震级的定量关系的影响;速度脉冲峰值PGVp的大幅值主要出现在大震区和毗邻发震断层区域。

     

    Abstract: To further understand the significant vertical characteristics and velocity pulse characteristics of near-fault ground motions, a comprehensive study was conducted using 1 706 sets of strong ground motion records selected from the NGA-West2 database. This study aimed to investigate the overall distribution patterns of the vertical-to-horizontal acceleration peak ratio, designated as aV/aH, and to explore how this ratio varies with various ground motion parameters such as moment magnitude MW, fault distance Rjb, site type, and fault type. Additionally, the study employed the multi-component velocity pulse identification method to obtain crucial pulse parameters, including the pulse period (Tp) and velocity pulse peak (PGVp), for 140 groups of near-fault velocity pulse ground motions. The statistical patterns and empirical models were then established to assess the relationship between these pulse parameters and the moment magnitude, as well as the fault distance. The results revealed several intriguing insights. Firstly, it was observed that the near-fault acceleration peak ratio aV/aH exhibits a strong correlation with ground motion parameters. The probability distribution of aV/aH follows Frechet distribution, indicating that the occurrence of high aV/aH ratios is not random but rather follows a specific pattern. This finding indicates that the vertical characteristics of ground motion may be significant in the near-fault regions, especially under certain seismic conditions. In addition, it is also found that the aV/aH ratio tends to increase with moment magnitude increasing and fault distance decreasing, indicating that the ground motion with larger vertical acceleration is more likely to occur. Additionally, the study also observed that smaller equivalent shear wave velocities vS30 and fault types such as strike-slip and reverse faults are associated with a higher likelihood of generating larger aV/aH ratios. These findings highlight the importance of considering vertical ground motion in seismic hazard assessments and earthquake engineering design, especially in areas with these specific ground motion characteristics. The study also focused on the pulse characteristics of near-fault ground motions. The analysis revealed that the pulse period increases with moment magnitude increasing, while the correlation with site conditions is relatively weak. This suggests that the pulse period is primarily influenced by the magnitude of the earthquake rather than local site conditions. Furthermore, a comparison of the empirical model of pulse period with the model proposed by Shahi and Baker revealed that the two models exhibit minimal differences in the range of large magnitudes. More importantly, the difference between the two models decreases as the moment magnitude increases, indicating that whether or not to distinguish between different pulse types has a negligible impact on the quantitative relationship between pulse period and moment magnitude. This finding suggests that the empirical model for pulse period can be reliably used to predict pulse periods in near-fault regions, regardless of the specific pulse type. Finally, the study found that the largest amplitudes of velocity pulse peaks primarily appear in regions with high magnitude earthquakes and in proximity to the seismogenic fault. This observation underscores the significance of vertical ground motion in these areas, particularly during large earthquakes. It also highlights the need for enhancing seismic hazard assessments and engineering designs that specifically address the vertical component of ground motion in these high-risk regions. In summary, this comprehensive study provides valuable insights into the significant vertical and pulse characteristics of near-fault ground motion. The findings emphasize the importance of considering earthquake magnitude, fault distance, site conditions, and fault type in assessing the potential for extreme vertical ground motion and quantifying the key parameters of near-fault velocity pulses. These results not only enrich our understanding of the complex behavior of near-fault ground motion, but also provide essential guidance for earthquake engineers and researchers in refining seismic hazard assessments, designing earthquake-resistant structures, and developing effective risk mitigation strategies. The study underscores the necessity of incorporating these nuanced ground motion characteristics into future seismic design codes and guidelines so as to ensure the safety and recoverability of the near-fault area.

     

/

返回文章
返回