利用重复地震研究山东乳山地区地壳介质波速变化

Variation of crustal seismic velocity in Rushan region of Shandong Province by using repeating earthquakes

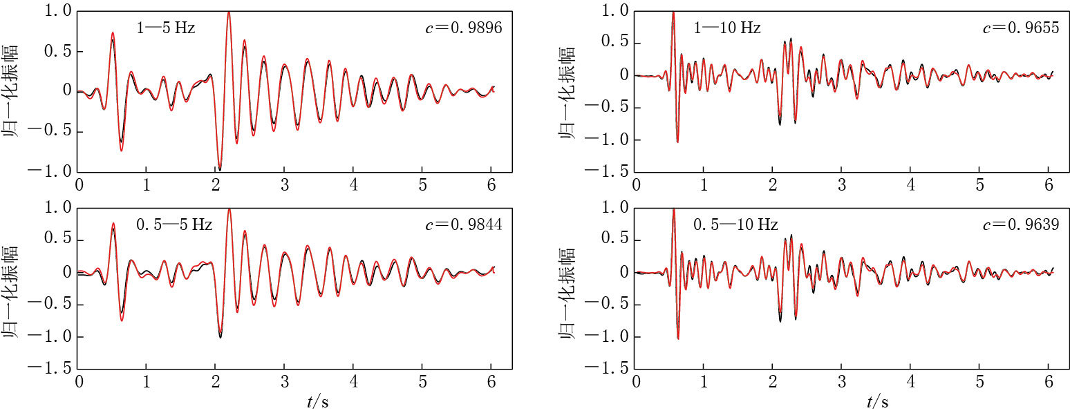
  • 摘要: 利用2013年10月—2015年6月山东乳山震群的地震波形资料,基于距离乳山震群最近的3个台站所记录的地震波形互相关系数c≥0.9的地震即为重复地震的原则,识别了乳山震群的重复地震.利用波形互相关时延法,计算分析了文登台和招远台这两个固定台站的走时差随时间的变化特征.结果表明:乳山震群的地震相似性很好,且震中位置较为集中,重复地震的时间跨度较大,有利于提高观测结果的时间分辨率;乳山震群中3次MS>4.0地震前均出现了短期的走时差低值异常现象,反映了乳山震群震源区在中强震前会出现短期地壳介质速度明显升高的过程,可以为该区域的中强震预测提供一定依据.

     

    Abstract: In order to explore characteristics of the crustal media variation in Rushan region of Shandong Province, we utilize seismic waveform data of Rushan swarm from October 2013 to June 2015. Based on the principle that the earthquakes recorded by three nearest stations with cross-correlation coefficient c≥0.9 is repeating earthquakes, we firstly identified repeating earthquakes of Rushan earthquake swarm. Secondly, by using the waveform cross-correlation delay method, the position of a double repeat earthquake waveform cross-correlation function reaching the maximum is the travel-time difference. We calculated and analyzed the variation of travel-time difference with time around the stations WED and ZHY. The results show that the waveform similarity of Rushan earthquake swarm is good, and the epicentral locations are concentrated, repeating earthquakes have larger time span, which will improve the time resolution of observations. The short-term low travel-time difference abnormal phenomena appeared before three Rushan earthquakes with MS>4.0, reflecting that epicenter area of Rushan earthquake swarm always appears the process that velocity of crustal media increases significantly in short-time before moderate and strong earthquakes, that have some indication significance for prediction of moderate and strong earthquakes in this region.

     

/

返回文章
返回