核幔界面衍射波Pdiff震相最大 记录震中距探讨

A discussion on the largest recorded epicentral distance for seismic phase Pdiff diffracted on core-mantle boundary

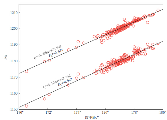
  • 摘要: 智利MS8.8特大地震在甘肃数字测震台网记录的最大震中距达179.7°, 通过读取该地震初至震相的观测走时, 计算该震相的平均观测慢度为4.104 s/°, 与Pdiff震相的理论慢度4.439 s/°基本一致. 研究结果表明: 由于甘肃数字测震台网和甘东南野外观测流动台阵独特的地理位置, 记录到了至今全球最大震中距(179.7°)的核幔界面衍射波Pdiff震相; Pdiff震相起始观测走时明显滞后于IASP91理论走时; 核幔界面复杂的形态对不同方位传播的Pdiff震相观测走时产生了一定的影响.

     

    Abstract: The largest epicentral distance of Chile MS8.8 earthquake reaches 179.7° recorded by Gansu Digital Seismic Network. Through artificially reading observational first-arrival travel time of the Chile earthquake, we calculated the average observational slowness of the first arrival phase is 4.104 s/°, which is basically consistent with theoretical slowness (4.439 s/°) of Pdiff. The results show that the Pdiff can recorded at the epicentral distance 179.7° due to particular location of Gansu Digital Seismic Network and southeastern Gansu temporary observation array; the origin observed travel time lags behind the IASP91 theoretical travel time obviously; and Pdiff travel times observed from different directions are affected by complex morphology of the core-mantle boundary.

     

/

返回文章
返回